<< Previous

Michael Buchler, Reconsidering Klumpenhouwer Networks

Next >>

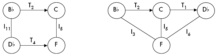
Figure 17. Two four-node K-net types (box and umbrella)