<< Previous

Julian Hook, Why Are There Twenty-Nine Tetrachords?

Next >>

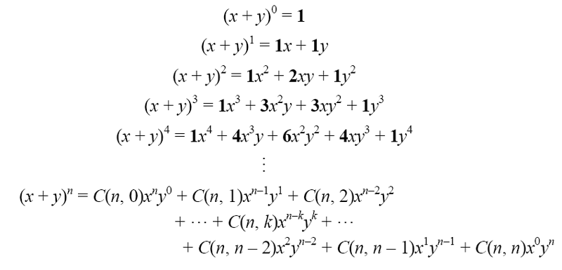
Figure 2. The binomial theorem