<< Previous

Vasilis Kallis, Principles of Pitch Organization in Scriabin

Next >>

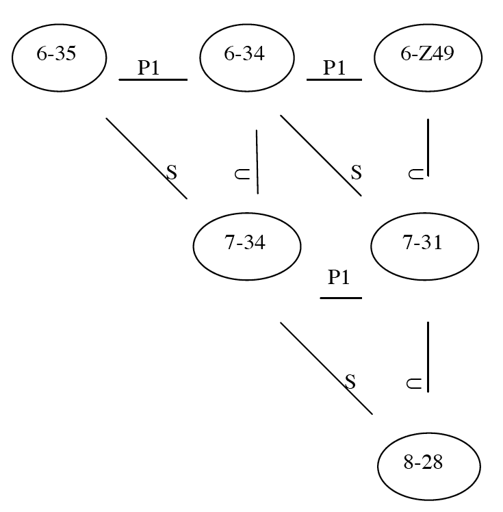
Figure 2. Substitution-based interaction: network of set interrelationships
From Callender (1998, Fig. 11, p. 227)