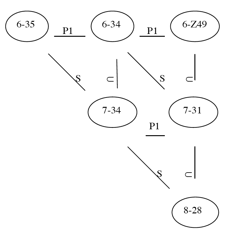
Figure 2. Substitution-based interaction: network of set interrelationships, from Callender (1998, Fig. 11, p. 227)