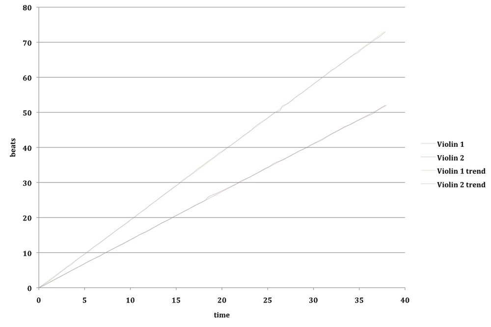
Figure 29. Graph of beats with respect to time and the resulting trend lines in the recording of the opening of canon 3