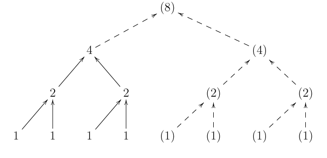
Figure 12. A ‘tree’ structure representing of the Saturation relation between two binary meters (such as 2/4 and 4/4)