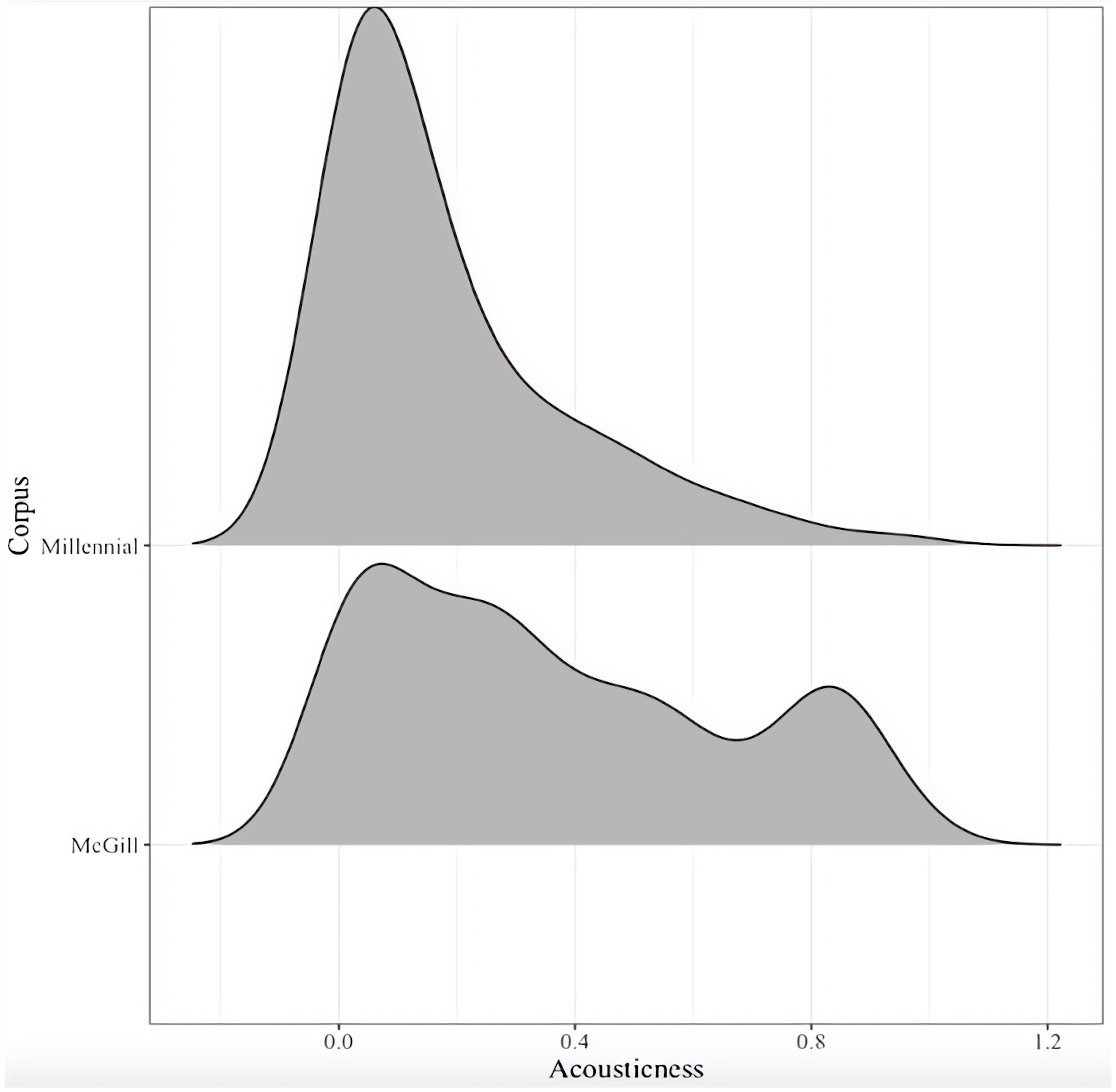
Example 12. Distribution of the acousticness feature for McGill and Millennial subsets