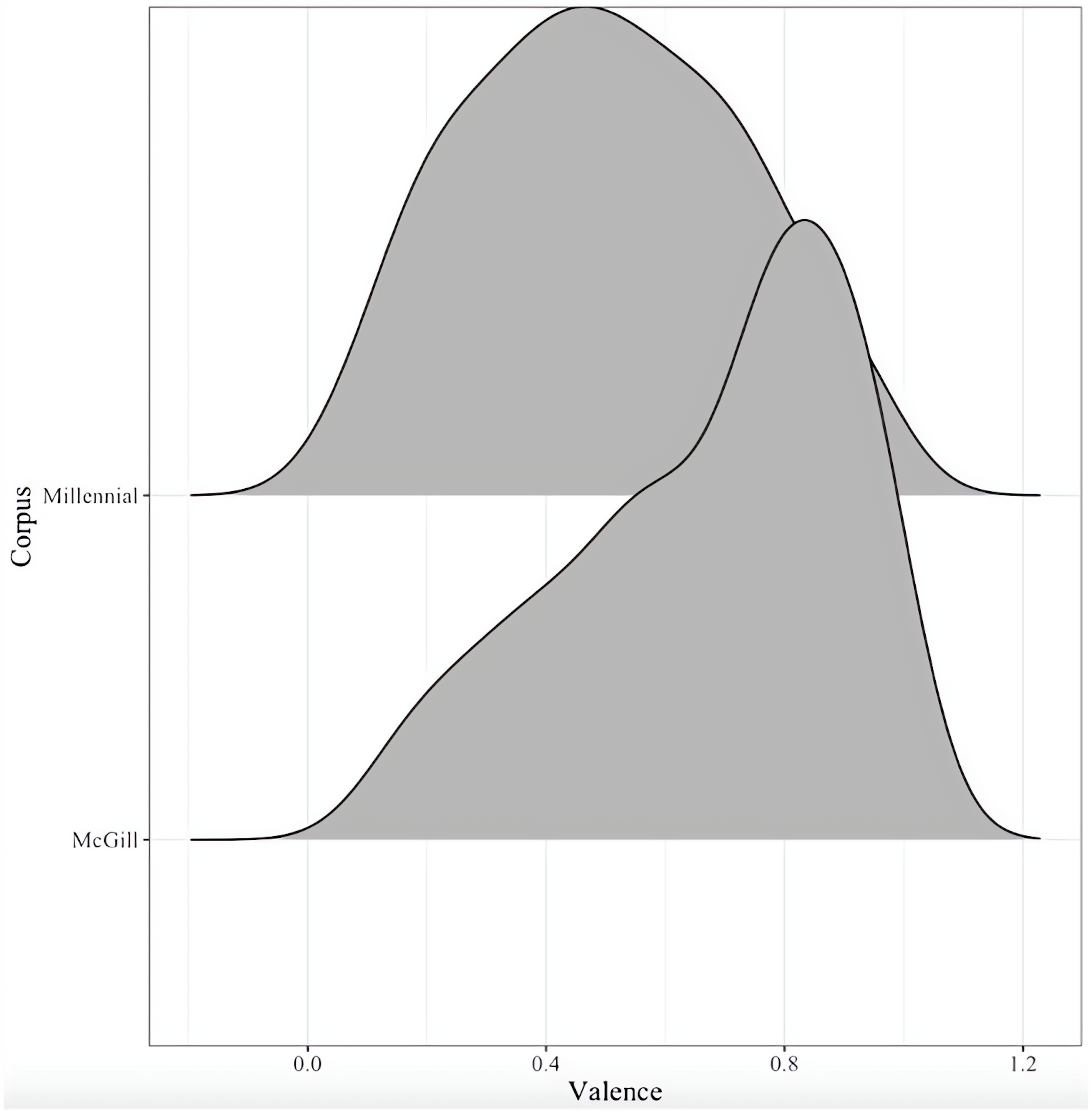
Example 13. Distribution of the valence feature for McGill and Millennial subsets