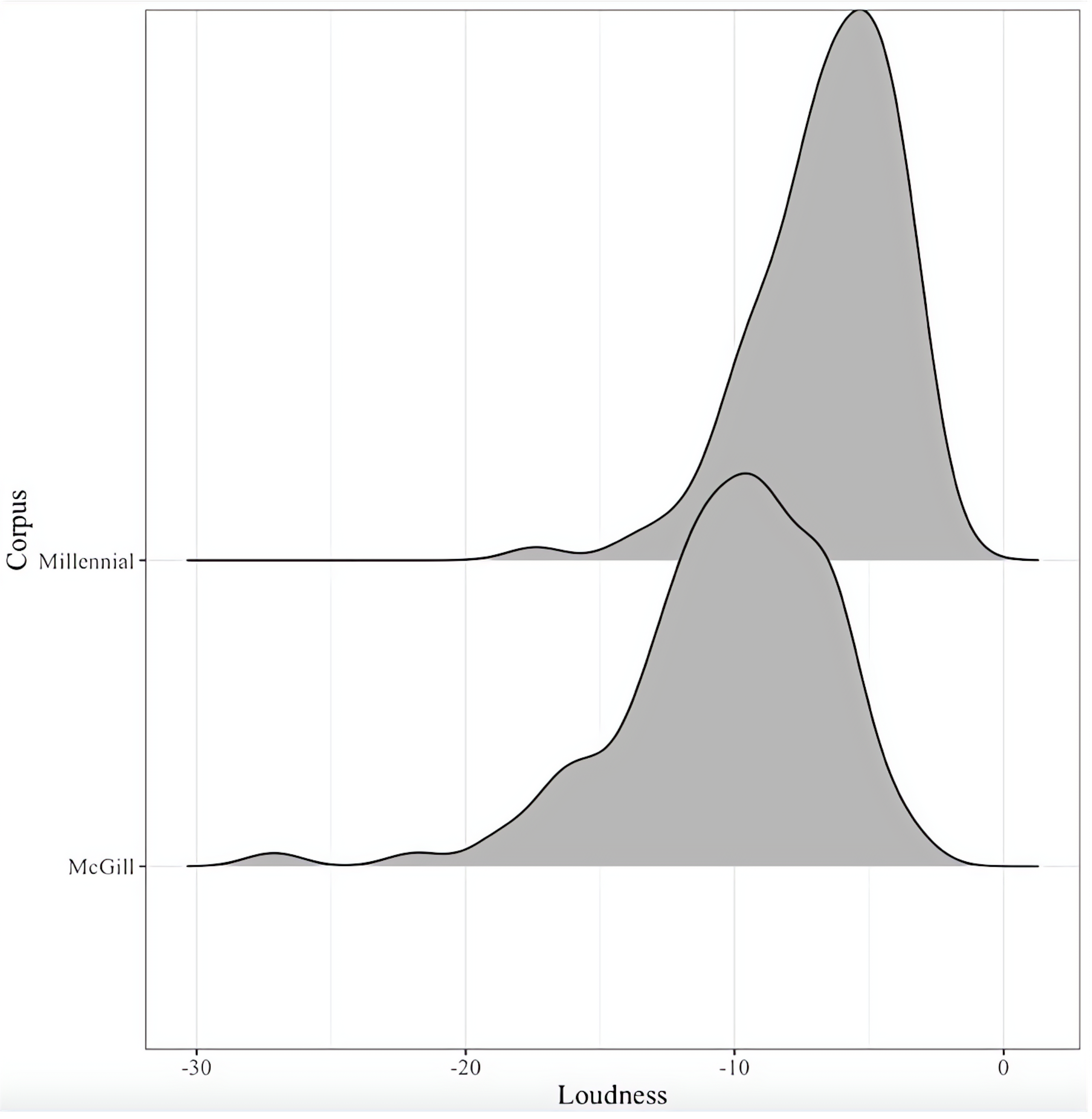
Example 14. Distribution of the loudness feature for McGill and Millennial subsets