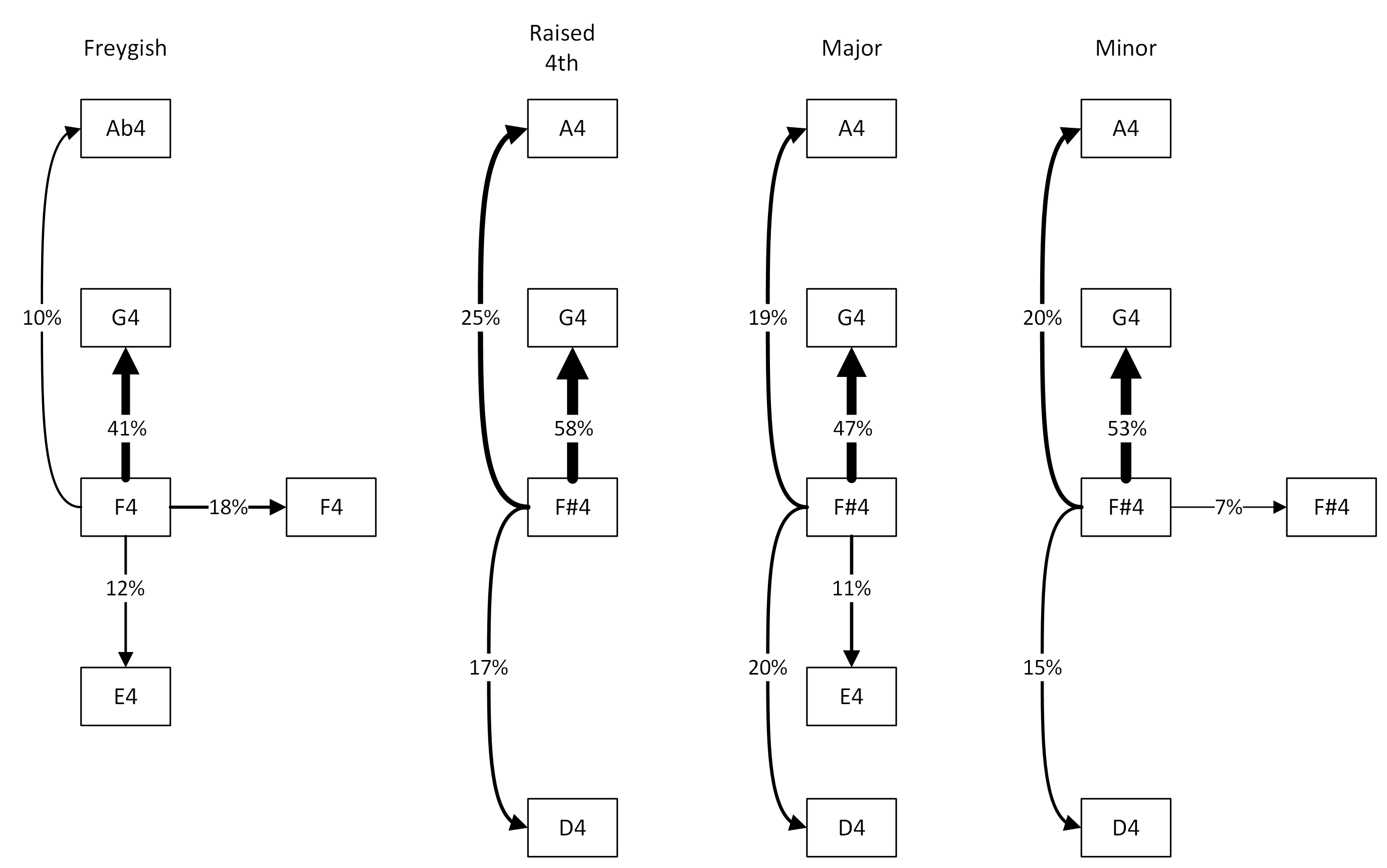
Example 40.
Transition probabilities from
7
ˆ
below the main octave (F
4
and
F
♯
4
)