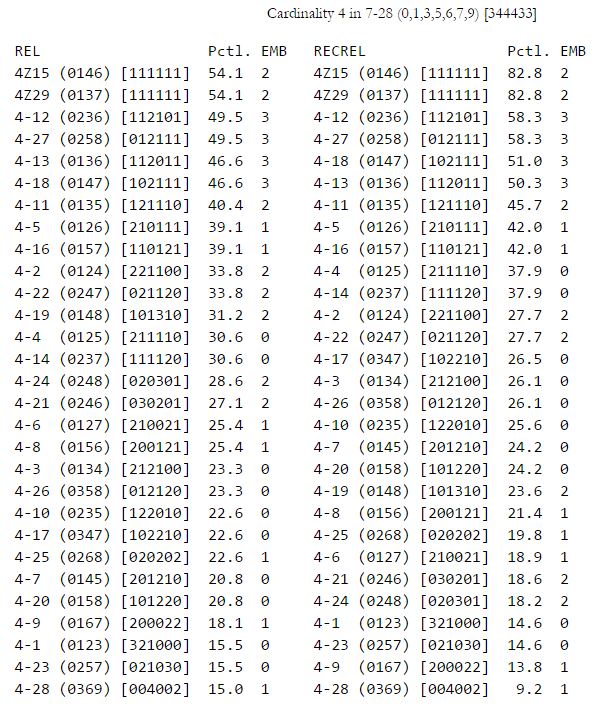
Table 1. Comparison of EMB numbers with REL and RECREL values for each tetrachord and set class 7-28. Listed within the two major columns are (1) the Forte number, (2) prime form, (3) interval-class vector, (4) percentile value for that set class and 7-28 under the given function, and (5) embedding number for that set class and 7-28. Each major column is sorted on the percentile column. The percentile value reflects the position of a given value among the values produced by all pairs involving set classes of size 2 through 10. This arranges values for both functions on a continuous scale from 100 (maximum) to 0 (minimum similarity).