Michael Buchler, Reconsidering Klumpenhouwer Networks

Next >>

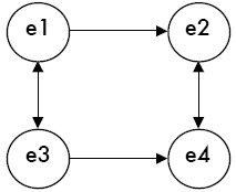
Figure 1. A network of nodes and arrows