<< Previous

Michael Buchler, Reconsidering Klumpenhouwer Networks

Next >>

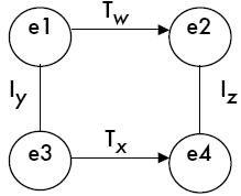
Figure 2. An abstract four-node K-net model