<< Previous

Julian Hook, Why Are There Twenty-Nine Tetrachords?

Next >>

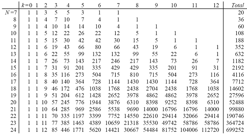
Table 4. Values of ζN(k), the number of Tn classes of k-note chords in an N-note scale