<< Previous

Julian Hook, Why Are There Twenty-Nine Tetrachords?

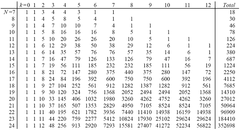
Table 5. Values of ξN(k), the number of Tn/TnI classes of k-note chords in an N-note scale