Parody with an Ironic Edge: Dramatic Works by Kurt Weill, Peter Maxwell Davies, and Louis Andriessen
Yayoi Uno Everett
KEYWORDS: parody, satire, irony, literary criticism, semiotics, markedness theory, Linda Hutcheon, D. C. Muecke, Robert Hatten, Esti Sheinberg, Kurt Weill, Peter Maxwell Davies, Louis Andriessen
ABSTRACT: This article formalizes the contexts and procedures by which parody assumes satirical or ironic resonance in musical discourse by drawing on literary perspectives on parody and irony by Linda Hutcheon and Douglas C. Muecke and music-theoretical concepts and applications by Robert Hatten and Esti Sheinberg. Using Hutcheon’s concept of ethos as a point of departure, I develop an interpretive framework for distinguishing the aesthetic motivations that underlie twentieth-century composers’ use of parody. My analysis presents a preliminary set of constructs that models the structure of satire and irony in selected works by Kurt Weill, Peter Maxwell Davies, and Louis Andriessen.
Copyright © 2004 Society for Music Theory
[1] Literary critic Simon Denitith describes parody as a cultural form that engages in “a battle between popular cultural energies and the forces of authority which seek to control them.”(1) Similar to authors of literary parodies, Western composers have incorporated parodic devices in their works as ludicrous or subversive responses to the socio-political conditions of their times. Examples of musical parody in 18th and 19th century music abound. Mozart’s quotations of Martin and Sarti in Don Giovanni and Tchaikovsky’s misquotation of The Marseillaise in his 1812 overture combine mischief with irony. Stylistic incongruities in Beethoven’s late music may be viewed as manifestations of romantic irony in the vein of Fichte and Schlegel, exemplified by “paradox, self-annihilation, parody, and the appearance of the fortuitous and unusual.”(2) In terms of twentieth-century literature, literary theorists have hypothesized that the ironic intent underlying parody is an ideological goal in its own right. Mikhail Bakhtin, for example, discusses the Russian formalists’ treatment of parody as a genre of double-voiced discourse; his theory of the carnivalesque provides a social ground that testifies to the relativity of all languages.(3) Linda Hutcheon emphasizes the enunciative contexts by which twentieth-century artists and composers have embraced parody from a critical, ironic distance.(4)
[2] In musical discourse, parody and irony present elusive terms that defy concrete analysis. How can parody be systematically distinguished from collage, pastiche, allusion, and quotation in twentieth-century music? Can literary criteria for parody and irony be effectively adapted and expanded toward musical analysis? In an attempt to establish specific criteria for analysis, this article expands on Linda Hutcheon’s literary theory on parody, D.C. Muecke’s writing on irony, and music-theoretical concepts and applications advanced by Robert Hatten and Esti Sheinberg.(5) Hutcheon’s concept of ethos provides a useful interpretive framework for distinguishing the aesthetic motivations that underlie parody, irony, and satire, and their points of intersection. I also build on Hatten’s and Sheinberg’s theoretical positions informed by semiotic theories in constructing a preliminary typology of parodic devices with application to twentieth-century dramatic works. My analysis examines the distinctive parodic strategies that give rise to ironic and satiric ethos in selected works by Kurt Weill, Peter Maxwell Davies, and Louis Andriessen. In the conclusion, further considerations for expanding and refining the typology will be addressed in relation to discourses of intertextuality and postmodernism.
[3] According to Hutcheon, many art forms in the twentieth century convey irony through what she calls “parodic transgression.”(6) For instance, Hutcheon invites us to look at a surrealist painting by René Magritte called “Perspective” (1950), which anthropomorphizes three coffins as human figures that look over a balcony. In order to really “get” the parody, Hutcheon says, one has to recognize the hidden or backgrounded referent.(7) Magritte parodies the impressionist painter Edouard Manet’s “le balcon” (1869), a painting that features three upper middle-class figures, clad in handsome clothing, in poses identical to those of the coffins. The surrealist painter “trans-contextualizes” the placement and perspective of the three figures in Manet’s painting and then inverts the semantic configuration of the referent; not only is the concept of life replaced by death, but a tropological reading emerges as a critique of bourgeois society (i.e., death of middle-class lifestyle).(8)
[4] In her exploration of the pragmatic functions of parody in modernist and postmodernist works ranging from visual art, literature, film, to music, Hutcheon construes parody as “a structure of repetition with critical distance.” She distinguishes parody from pastiche and collage by foregrounding the artist’s self-conscious reworking of the backgrounded model that moves beyond mere imitation. Hutcheon introduces the concept of ethos—“an inferred intended reaction motivated by the text”—to establish a framework for distinguishing the functions of satire, parody, and irony.(9) First, she distinguishes satire and parody as separate types of literary genre with an overlapping ethos. As shown in Figure 1a, she draws two overlapping circles: the one to the left indicates S for satire and the one to the right indicates P for parody. Second, she denotes irony (I), enclosed in a circle with dotted line, as a trope or figure of speech used by both genres to mark the difference in meaning that emerges from “the superimposition of semantic contexts involving one signifier and two signifieds.”(10) She describes this model as three overlapping and constantly shifting circles, whereby the proportions of mutual inclusion vary with each text under consideration. Her ethos is, moreover, defined by markedness values in which one term dominates its opposite by creating a categorical asymmetry.(11) Satire is always accompanied by a scornful or disdainful ethos (and therefore marked) while parody is accompanied by reverential, humorous, or contesting ethos (and therefore unmarked). Thus if Magritte’s intention in parodying Manet is satirical in his critique of bourgeois society, its ethos is located in the area of intersection between S and P. While focusing on the perception and interpretation of the reader (who decodes the encoded text) and the underlying social conventions that dictate possible readings, Hutcheon takes care not to equate parody with intertextuality, which signifies an anonymous, impersonal crossing of texts according to Julia Kristeva.(12)
[5] First, I define parody in musical discourse as a composer’s appropriation of pre-existing music with intent to highlight it in a significant way. The analyst then determines whether the accompanying ethos is deferential (neutral), ridiculing (satirical), or contradictory (ironic) based on how the new context transforms and/or subverts the topical/expressive meaning of the borrowed element. Specifically, satirical or ironic ethos arises from signals that trans-contextualize and invert or negate the topical meaning of the backgrounded referent. In a piece of music, the signals that invert or negate the literal message may be communicated through sung or spoken text, conflicting musical signifiers, and/or affect or mode of delivery. Second, satirical and ironic ethos are distinguishable by means of their structure of ambiguity, i.e., whether a closure in meaning takes place or the contradictory poles of meaning are upheld. This last point requires further clarification. Both Hutcheon and Sheinberg comment on the ethical implication and didactic purpose that accompany satire’s ridiculing ethos. As a corrective, satire privileges one end of the oppositional poles in meaning, while irony retains its oppositional equilibrium. In terms of the explicitness of communication, satire is more easily recognizable because it tends to rely on an explicit mode of delivery that negates the literal meaning: e.g., “John is a real tiger!” enunciated with a mocking tone of voice openly contradicts the assumption that John is “brave” or “aggressive” like a tiger. In comparison, Mark Anthony’s remark in Shakespeare’s Julius Caesar, “Brutus is an honorable man,” is ironic in intent. A perceptive audience recognizes Mark Anthony’s message as a bitter refrain that fuses the contradictory messages into a source of semantic ambiguity. Irony is communicated more often through implicit rather than explicit signals: in subtle cases, the transliteral message is embedded in the text in such a way that only the culturally and ideologically “competent” audience comprehends the double exposure.
[6] Hutcheon’s ethos offers a useful framework for parsing the aesthetic motivations that guided twentieth-century composers to adopt various parodic techniques. Figure 1b lists such motivations synchronically, although such categories are by no means comprehensive or mutually exclusive. One could say that Charles Ives and Alban Berg used quotations as part of a narrative program to portray an event, a character, or an expressive state. Such quotations acquire new meaning through recontextualization, although accompanied by an ethos that falls in the neutral, unmarked region. The trend in postwar music is for neutral ethos to manifest in the ways in which quotations came to be used as a compositional device for fragmentation (Luciano Berio’s colossal experimentation within a collage of quotations in Sinfonia (1968), etc.), evocation and nostalgia (e.g., George Crumb), spoof on Bach (Peter Schickele), or postmodern eclecticism (e.g., John Corigliano’s The Ghosts of Versailles (1991) or Berio’s Un re in ascolto (1984)).(13) A collage of references permeates Alfred Schnittke’s Concerto Gross (1977) or Jacob Druckman’s Prism (1980), resulting in a stylized web of dense texture without an ironic invocation. Such works fall into the non-overlapping (unmarked) region of parody under Figure 1a; I argue that the backgrounded referent is trans-contextualized through incongruous juxtaposition or superimposition of other elements, yet it does not generate expressive or topical opposition in meaning. Thus only the first condition laid down by Hutcheon is fulfilled.
[7] In contrast, dramatic works that incorporate parodic devices with subversive or contesting ethos assume a marked quality and are strongly polarized in the topical opposition between the foregrounded and backgrounded referents. As in the case with the aforementioned painting by Magritte, the incongruity in the juxtaposed elements must be accompanied by an inversion of topical or expressive meaning (i.e. life turns to death). For example, composers driven by a socialist agenda, such as Hanns Eisler and Kurt Weill, adopt parody as a device for alienation. Brecht’s epic theatrical production The Rise and Fall of the City of Mahagonny critiques materialism by appropriating the biblical tale of the flight of Moses and the Israelites and transforming it into the “paradise city” of Mahagonny. The play was first performed in 1930 as an anti-opera, intended to challenge the audience to develop a response other than a merely “culinary” appreciation of the arts.(14) In such contexts, music serves, to a large degree, to critique bourgeois ideals through distortion and exaggeration. In Irony, Satire, Parody, and the Grotesque in the Music of Shostakovich, Sheinberg reveals the extent to which Russian formalist writers informed Shostakovich’s parodic strategies by treating parody as a device for defamiliarization (ostranenye); she considers the term “existential irony” to refer to the composer’s embrace of contradictory signifiers, e.g., musical correlation of “euphoria and dysphoria” in Symphony No. 10 and No. 13.(15) In the last two categories, irony functions as a subject of inquiry unto itself, ushering in a doubly-coded type of ambiguity characterized by fusion or transcendence of contradictory meanings, as will be discussed.
[8] Expanding on Hatten’s and Sheinberg’s analyses of irony, I explore several procedures whereby a satirical or ironic ethos is induced through inverting or negating the topical or expressive meaning(16) associated with the borrowed model in twentieth-century musical contexts. The three constructs are: 1) paradigmatic substitution of expressive state (via inverted correlation or analogy); 2) incongruous juxtaposition of stylistic elements; and 3) progressive de-contextualization of a literal or stylized quotation. These constructs may induce satiric ethos locally or combine in various ways to convey an ironic ethos at broader metaphoric levels of interpretation.
Figure 2a. Hatten’s theory of analogy vs. correlation
(click to enlarge)
Figure 2b. Paradigmatic substitution via inverted correlation
(click to enlarge)
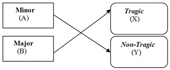
[9] Based on Peircian semiotics and Edwin Battistella’s theory of markedness, Hatten defines analogy as a figurative comparison that defines any given relationship in terms of another: A is to B as X is to Y. As shown in the left diagram under Figure 2a, correlation is a specific type of analogy that maps structural oppositions onto expressive ones: a literal mapping of signification coordinated by the markedness values between two pairs of oppositions.(17) Correlation is established, according to Hatten, when the modes of signification relate to one another via privative opposition, defined by the presence of A versus the absence of A. He provides a musical example of correlation in the right diagram; the minor/major opposition correlates with the tragic/non-tragic (e.g., galant, heroic) since both minor and the tragic affect are marked with respect to music from the Classical style.
[10] A simple model for satirical parody can be generated by inverting the correlation of major and minor modes and their expressive states, as shown under Figure 2b. The inversion of correlation (A:B :: Y:Z) depends-in such a case-on a paradigmatic substitution, as in the case of replacing a deceptive cadence with an authentic cadence. The audience realizes right away that something is askew if a text that describes a tragic situation is correlated with a major mode. This inverted correlation between a major mode and a tragic text generates satire in Andriessen’s opera Rosa (1993). The opera presents a thoroughly Brechtian social critique by parodying stereotypes found in Hollywood films. The principal character, Rosa, is an Uruguayan composer who writes Hollywood westerns, a shallow and despicable character who abuses his lover, Esmeralda, and pays more attention to his horse than he does to her.(18) Examples 1 and 2 show how Brahms’s tender waltz (op. 39/2) recurs throughout the opera as a central leitmotif. The first excerpt (Example 1) depicts the hapless lover Esmeralda singing to her mother about how Rosa loves his horse more than he loves her. The literal quotation of Brahms’s melody is accompanied by words of lament, negatively inflecting the major mode of the waltz. The Stravinskian chords (reminiscent of “The Sacrificial Dance” from The Rite of Spring) interrupt her lament to signify brutality and violence. The waltz melody returns in various guises to amplify the disconnection between the lovers. In scene 11 (Example 2), the motif returns with an inverted contour, sung by Rosa in falsetto as he floats away in the netherworld and sings about riding women and horses. Here the major mode of the melody (now in Eb major) becomes negatively inflected when the word “nightmare” puns on “nighthorses:” the image of a “nightmare” contradicts the positive signification of a Picardy third. In both instances, the major mode identifies with the shallowness of Esmeralda and Rosa, while the tragic expressive state is achieved through the superimposition of signifiers that negate the positive connotation of the major mode. Multiple referents collide, however, in generating a broad range of parodic ethos that are deferential as well as ridiculing and contesting.(19)
Example 1. Parody of Brahms’s Waltz, op.39/2 in Andriessen’s Rosa, Scene 3 (orchestral reduction) (click to enlarge and listen) | Example 2. Parody of Brahms’s Waltz, op.39/2 in Andriessen’s Rosa, Scene 11 (orchestral reduction) (click to enlarge and listen) |
Figure 3. Paradigmatic substitution via distortion
(click to enlarge)
Example 3. Quotation of Badarzewska’s “Maiden’s Prayer” in Weill’s setting of The Rise and Fall of the City of Mahagonny, Scene 9
(click to enlarge and listen)
Figure 4. Progressive de-contextualization
(click to enlarge)
Example 4. Quotation of Wagner’s Tristan und Isolde in Debussy’s “Golliwog’s Cakewalk”
(click to enlarge and listen)
Figure 5. A typology of constructs that generate satiric and ironic ethos
(click to enlarge)
Example 5. Stylistic and Literal Quotations in No. 7, “Country Dance”
(click to enlarge and listen)
[11] Sheinberg offers another formula for structural and expressive oppositions based on equipollent opposition, where the correlation is not based on the coordination of markedness, but rather on semiotic processes of indexicality and iconicity.(20) Figure 3 presents one model by which satire arises via negation based on this principle. When a composer embeds a quotation that connotes a certain expressive state and distorts it, its corresponding expressive state undergoes negation by analogy. This formula for negation is characterized by a distortion or exaggeration of a literal quotation along a temporal axis. Weill’s musical setting of Brecht’s The Rise and Fall of the City of Mahagonny provides an instance of such technique. In scene 9, three men sit at a hotel bar and gloat over their lifestyle of leisure (Example 3). The exaggerated performance of Theckla Badarzewska’s “The Maiden’s Prayer” that opens this scene mirrors the men’s view of the false paradise. In the absence of dialogue, the excessive ornaments and inflated style of playing distort the innocence of the original tune and turn it into a symbol of decadence. Somewhat fittingly, the first comment uttered by one of the three men, is: “Das ist die ewige Kunst” (“this is eternal art”). Since this is the only scene where this tune is parodied, the satirical effect is localized; the distortion of this tune, nonetheless, presents a poignant commentary on the illusory world of Mahagonny. Jimmy, a Christ-like figure who objects to his existence in this fake world of decadence, becomes a pariah and is executed in the end. Since satirical distortion of nineteenth-century salon music constitutes one of Brecht’s stock strategies for ridiculing bourgeois culture, this parodic formula contributes to the trope of anti-bourgeois sentiment in his epic theater.
[12] Finally, Figure 4 presents a progressive context in which musical signals de-contextualize a parodied element through the conflation of two procedures: the parodied element undergoes distortion and is then brought into juxtaposition with incongruous stylistic elements. Sheinberg cites Debussy’s “Golliwog’s Cakewalk” as an exemplar of satirical parody; the middle section of this piano piece presents a sentimentalized quotation of the “yearning” leitmotif from Wagner’s Tristan und Isolde.(21) This “yearning” affect is negated by both Debussy’s instruction (“avec une grande emotion”) to exaggerate the sentiment and by the eighth-note figure with grace notes that “mocks” the serious affect of the Wagner quotation. In Example 4, the succession of parodied element and contrasting motive are indicated as x and y to show how the pattern conforms to the model presented in Figure 4a. The exaggerated contrast between the incongruous juxtaposition of musical gestures heightens satire’s ridiculing ethos at work here.
[13] While satire arises out of localized forms of substitution or de-contextualization, the structure of irony is embedded within a broader concept of trope or metaphor that arises from the global context of a piece.(22) Hatten explains irony specifically as a trope that emerges from the juxtaposition of contradictory or incongruous types, a generalized category or concept in music that lies beyond the hierarchies of correlation. A preliminary typology may be established as shown in Figure 5. The second and third constructs represent procedures for paradigmatic substitution modeled on Hatten’s and Sheinberg’s work in generating satiric or ironic ethos at the localized level. The remaining constructs apply to the projection of such ethos at a broader, metaphoric or symbolic level. Given x = parodied element, y = a different stylistic element, - indicates temporal adjacency or contiguity of elements, + indicates a juxtaposition of concepts that gives rise to a trope that functions at a broad level of musical discourse, and - indicates contextual inversion of the meaning assigned to a given trope.
[14] While the models are listed in the order in which they were presented, context determines the structural levels at which the ethos of satire and irony are sustained. The previous examples demonstrated how satirical effects were generated by means of inverted correlation and paradigmatic substitution; however, such localized effects may be combined with other strategies to project irony at the global level of musical discourse. I’d like to turn now to two dramatic works by Davies and Andriessen to show how the composers adopt a combination of these strategies to prolong the satiric and ironic ethos over the course of an entire scene or a plot.
[15] As one of the Manchester school composers, Davies has exerted a powerful presence in the avant-garde musical scene in postwar England. Davies’s works from the late 1960s and early 1970s, e.g., St. Thomas’ Wake (1969) and Tavener (1970), are characterized by ironic reworkings of medieval plainsong fragments; in Missa super L’Homme Armé, Davies de-contextualizes the cantus firmus by progressively splintering it through distortion and magnification. Eight Songs for a Mad King (1969) is “an extravagant, disturbing portrayal of madness.”(23) The baritone sings the part of King George III (or perhaps another madman who pretends to be the King), who tries to teach his instrumentalists to sing. The string and woodwind players represent bullfinches (each confined within a cage on stage) and, symbolically, the society at large that mocks the King.(24)
[16] In the seventh song, the King parodies the aria “Comfort ye” from Handel’s Messiah through distortion and exaggeration. This effect is hardly comforting. As shown in Example 5, the distorted Handelian parody is flanked by foxtrot and vaudeville tunes that reference sin. The music oscillates back and forth between tonal and atonal poles. The symbolic death of the violin represents the death of his society. The musical style swiftly shifts to exaggerated expressionistic idioms of the Second Viennese school, leading ironically to the pronouncement of the King’s own death. This seemingly absurd scene nonetheless gives way to a nuanced interpretation of satire and irony at multiple levels of structure. Locally, it is through the strategy of progressive de-contextualization that the satiric ethos is sustained. As shown in Example 5, the Handelian reference x—the parodied style that is historically contemporaneous to the period in which King George lived—undergoes continual distortion (-x). The misquotation of “Comfort ye” from Handel’s Messiah alternates with stylistic allusions to foxtrot and vaudeville (y)—anachronistic genres that have their origins in the early twentieth-century. At the musical surface, the progressive de-contextualization of the Handelian references becomes the primary vehicle for portraying the drama of the King’s state of madness. In the process the musical idiom oscillates back and forth between tonal and atonal poles.
[17] Perhaps what is provocative about the piece is that our “normative” expectation—to associate the state of madness with atonality—is turned completely inside out. Davies correlates tonal stability of the foxtrot and vaudeville tunes with decadence and corruption, and the misquotation of Handel with the King’s virtuousness-his attempt to rescue his people in spite of his madness. One could argue that Davies prolongs dramatic tension in this scene by mapping tonal and atonal references onto two distinct tropological poles of opposition (tonal: atonal :: decadence: innocence) and (tonal: atonal :: illusion: reality). Thus the borrowed tunes in tonal settings signify the King’s entry into illusion and madness, while destructive passages in atonality signify moments of lucidity and awareness. The King’s wish to “save his people” allows him to escape from the illusory state of madness; however, the awareness of his condition only leads to the realization of his own mortality. From a broader aesthetic realm, madness in this theatrical piece emerges as a trope that is doubly-coded. At the end, the audience is left to grapple with the question: is this piece about King George’s madness or a critique of a society that is in itself mad? By portraying madness as a societal phenomenon, the composer tries to lift the stigma attached to the individual affliction of madness. Thus, framed within a broader hermeneutic framework, the context inverts the conventional meaning associated with madness; if the incongruous juxtaposition of styles constitute x + y as a trope for madness, its meaning is turned inside out. Here, the trope of madness is suggestive of what D.C. Muecke calls double irony—where the opposition lies not between appearance and reality nor individual and society, but rather “between two sides in which both good and bad are mixed.”(25) Furthermore, Davies incorporated stylistic quotations of the foxtrot as a recurring symbol of corruption and decadence in music during the period of the late sixties and early seventies: an indulgence in fake nostalgia that has no connection to reality.(26) By assigning a priori symbolic meaning to stylistic genres, Davies succeeds in creating a distinctive formula for expressing irony through parody as a symbolic gesture of social resistance.
[18] Andriessen’s second opera foregrounds dramatic irony as a subject unto its own: Writing to Vermeer (1999), staged in collaboration with Peter Greenaway, depicts the domestic serenity of women in seventeenth-century Holland in stark opposition to the brutality and violence of the outside world. The plot conforms to Muecke’s category of dramatic or Sophoclean irony in which the characters on stage remain unaware of the prospect or “irony of fate” that lies ahead.(27) Contrary to the themes of domestic serenity featured in Vermeer’s paintings, seventeenth-century Dutch society endured turbulent political and socio-economic changes. To provide a dialectic framework to the opera, Greenaway and Andriessen came up with the idea of introducing sudden ruptures or interpolations from the inner world of women and children into the turbulent outer world. The dramaturgical design of the opera consists of six scenes that contrast the domestic serenity of women and children with sudden interpolations into the outer world. Events from the external world such as the tulip crash of 1637, street fights between Catholics and Protestants, and France’s invasion of Holland, are projected onto the stage in the form of a running commentary accompanied by filmic images. Though the inner world of women is kept apart from the outer world in the first half of the opera, the two worlds eventually collide and merge.
[19] Throughout the opera, Andriessen places the text and music in continual dialectical tension: while the text speaks of ordinary events in the women’s lives, the music embodies their unspoken emotions. The composer introduces two important devices for the instrumental accompaniment to provide negative psychological commentary to the text: the first is the continual infusion of dissonances to create a paradoxical “shadow” to the women’s expressed optimism, Through harmonizing major themes and motives with poignant dissonances, Andriessen infuses tension into the harmonization of diatonic melodies as if to forecast the impending doom that besets Vermeer’s household. The positively-charged themes and negatively-charged harmonization result in a kind of musical chiaroscuro (play of light and shadow) without tending toward reconciliation. Thus the strategy of dissonance relies on a topical correlation established between music and text, that is, text: music :: positive imagery (light) : negative image (shadow).
Figure 6. Sweelinck quotations (SW1) in Andriessen’s Writing to Vermeer
(click to enlarge)
Example 6a. De-contextualization of SW1 (scene 1, reh.20)
(click to enlarge and listen)
Example 6b. Full citation of Sweelinck’s “Mein junges Leben hat ein End” (scene 4, sec. 6)
(click to enlarge and listen)
Figure 7. Comparison of the parodic structure of the four works
(click to enlarge)
[20] This correlation is transformed and inverted in the second half of the opera. The central leitmotif, the theme to Sweelinck’s “Mein junges leben,” appears in fragmented and varied forms prior to the golden section of the opera where the full statement of the theme appears.(28) As shown in Figure 6, irony manifests in how the incomplete renditions of the Sweelinck leitmotif are associated with positive images—“Saskia’s bright face,” “light,” “sleep,” and so forth—while the complete rendition of the leitmotif reveals negative images of “suffering” and “pain.” Example 6a illustrates an earlier scene in which the descending melody appears in a fragmented form; Vermeer’s stepmother Maria and her children sing about “seeing the light,” accompanied by a tonally ambiguous quotation of the Sweelinck tune that avoids melodic closure. The moment at which the transition from incomplete to complete statement of the theme corresponds with the Golden section of the opera (see Example 6b) and, moreover, the cathartic moment when the women begin to acknowledge their inner emotions of turmoil. Immediately following the filmic projection of street fights between the Catholics and Protestants, Saskia, the model, sings “Mein junges leben hat ein End” in full. At a broader metaphoric level, the de-contextualization of the Sweelinck quotation affirms the act of yearning as a trope that fuses life and death as an inseparable semantic unit. Once the exterior world (x) has penetrated the interior world of women (y) at the Golden section of the opera, the metaphorical union of x + y is established; the further dissolution of leitmotifs past this point signifies the dissolution of (x +y) into an infinite chain of negation. As if to complete the process of dissolution, the sung text disappears after scene 5, as the Sweelinck quotation undergoes chromatic liquidation in the instrumental tutti and dissolves into an electronic “echo” in the postlude to the concluding scene.
[21] In his own writings, Andriessen traces his interpretation of irony to Hegel’s dialectical theory in which every condition of existence embodies its opposite in a state of tension.(29) Whereas in Rosa parody functions primarily as a satirical device, in Writing to Vermeer parodied elements (e.g., leitmotif on Sweelinck’s tune) prolong dramatic irony at an implicit, hidden level as a subject on their own. Through distortion of leitmotifs and negatively-charged harmonizations, Andriessen allows the music to function continuously as the “shadow” element to the sung text. It is the progressive de-contextualization of the Sweelinck quotation, spanning the entire opera, that gives rise to and sustains the dramatic irony. The continual transformation and distortion of certain thematic and motivic elements mirror the fluid and vulnerable conditions of the women in the opera.
[22] To recapitulate, Hutcheon’s literary criteria for parody provide a point of departure for adaptation to musical discourse and for establishing specific constructs of satire and irony with application to selected twentieth-century dramatic works. Expanding on Hatten’s and Sheinberg’s theoretical framework, the analytical constructs and applications introduced here corroborate the following characteristics and conditions:
- Parody sets up a structural framework that marks difference by appropriating the background model or referent;
- Parody acquires a marked ethos, i.e., satiric or ironic, when accompanied by signals that trans-contextualize and invert or negate the topical or expressive meaning associated with a backgrounded referent;
- Satiric ethos, through exaggeration and distortion, emanates contradiction in topical or expressive meaning, yet achieves closure by privileging one end of the contradiction;
- Ironic ethos manifests through inversion or transformation of a trope; it is distinct from satire in that its structure of semantic ambiguity defies closure;
- Satiric and ironic ethos are not mutually exclusive; depending on the context, satire may operate independently of irony or it may be subsumed within irony at a lower level of structure.
[23] In summary, Figure 7 compares the parodic structure of the four works examined here by mapping their characteristics onto Hutcheon’s chart of ethos introduced at the beginning. Brecht and Weill’s setting of Mahagonny can be located in the intersecting region between satire and parody. The work exemplifies the use of parody as social satire with an explicit didactic message: the futility of materialism. In this context, Brecht leaves little room for the type of interpretive ambiguity that might hint at irony. In comparison, Davies’s Eight Songs or Andriessen’s Rosa combine localized satirical ethos with a decontextualization of parodied elements that contributes to a large-scale tropological implication for “double” irony. Satire becomes a means to an end, as Davies confronts madness as a societal disease and Andriessen confronts stereotypes and brutality in cinema. Here, the structure of parody subsumes satire as a low-level manifestation of irony as a form of inquiry. Lastly, Andriessen’s Writing to Vermeer can be situated in the intersecting region between parody and irony. There is nothing satirical in ethos about Andriessen’s later opera that foregrounds Hegel’s philosophy of irony based on infinite negation. Unlike the romantic form of irony, in which contradictory meanings are transformed into a new state of transcendence, the oppositional topics remain fused and open-ended.
[24] Further considerations for refining the present typology include, but are not limited to: 1) variants that affect the categorization of parody across historical styles, 2) aesthetic ideologies that distinguish one type of irony from another (e.g., romantic, dramatic, “double”), and 3) cultural codes that dictate the construction of meaning. First, the constructs introduced can be augmented and applied more widely to parodic contexts across historical styles: e.g., how does a satirical portrayal of Esmeralda in Andriessen’s Rosa compare to that of Barbarina in Mozart’s The Marriage of Figaro? Second, further criteria for distinguishing different types of musical irony need to be explored. While Hatten describes unexpected shifts in musical discourse as an important signifier of romantic irony in Beethoven’s instrumental music,(30) dramatic and “double” irony depend on the articulation of expressive oppositions between text and music. Thus the contexts under which ironic ethos arises in instrumental music (also in absence of parody) need to be distinguished from those under which it arises in relationship to text and narrative. Lastly, a well-grounded interpretation of parody and irony relies on knowledge of the composer’s intention as well as the social convention and history of reception that surrounds a given work. Interpretation of musical parody presents a special type of intertextual discourse in negotiating between the composer’s intention, social reception, and cultural discourses to ground his/her aesthetic orientation.(31)
[25] However dissimilar in background, Weill, Davies, and Andriessen share the same historical vantage point in embracing parodic techniques in order to provoke a social response. All three embrace parodic techniques in order to provide a musical commentary on the socio-political climate for the arts in Western Europe. In the contexts of Davies’s and Andriessen’s works, parody supplants the purity of modernist aesthetic aim while infusing it with the avant-garde’s power of provocation. In their political engagement and critical deconstruction of operatic and theatrical traditions, their aesthetic stance on parody resonates with Hal Foster’s discourse on oppositional postmodernism or postmodernism of resistance.(32) Each composer favors, however, a particular strategy in order to inject an “ironic edge” into their dramatic works: Weill parodies and distorts familiar tunes to ridicule bourgeois sentiment, Andriessen implants leitmotifs and de-contextualizes them to create an opposition between text and music, while Davies embeds topical meanings in quotations and then distorts them through an incongruous juxtaposition of styles. In either case, they establish a dialogue with music from the past in order to inscribe historical continuity with tradition as well as to communicate a particular ideology. It is through this critical distance that these composers mark their differences from within.
DISCOGRAPHY
Andriessen, Louis. Rosa: The Death of a Composer. Nonesuch 79559-2, 2000.
_________________. Writing to Vermeer. Recording released by Donemus, Amsterdam, 2000.
Davies, Peter Maxwell. Eight Songs for a Mad King. Unicorn-Kachana Recordings DKP 9052, 1987.
Debussy, Claude. “Golliwog’s cake walk.” Claude Debussy. Harmonia Mundi HMA 190954, 1972.
Weill, Kurt. Aufstieg und Fall der Stadt Mahagonny. Capriccio 10160-10161, 1985.
Yayoi Uno Everett
Emory University
Music Department
1804 N. Decatur Rd.
Atlanta, GA 30306
yeveret@emory.edu
Footnotes
1. Simon Denitith, Parody (London and New
York: Routledge, 2000), 22–23.
Return to text
2. Rey M. Longyear, “Beethoven and Romantic Irony,” in
The Creative World of Beethoven, ed. Paul Henry Lang (New York: W. W.
Norton, 1970), 147.
Return to text
3. Mikhail Bakhtin, The Dialogic Imagination, trans., Caryl Emerson and Michael Holquist, ed. Michael Holquist
(Austin, TX and London: University of Texas Press, 1981).
Return to text
4. Linda Hutcheon, Theory of Parody: The Teachings of
Twentieth-century Art Forms (New York and London: Methuen, 1985).
Return to text
5. Robert S. Hatten, Musical Meaning in
Beethoven: Markedness, Correlation, and Interpretation (Bloomington: Indiana
University Press, 1994); Esti Sheinberg, Irony, Satire, Parody and the
Grotesque in the Music of Shostakovich: A Theory of Musical Incongruities (Aldershot:
Ashgate Publishing, 2000). I am deeply indebted to both Hatten and Sheinberg for
their guidance in conducting this research.
Return to text
6. Hutcheon, 12. She claims that “the work of
Magritte provides a clear example of parodic transgression of many levels of
iconic norms that moves beyond quotation.”
Return to text
7. Here, referent is synonymous with the object of a
manifested sign (sinsign) or designatum according to Charles Peirce’s semiotic theory (Hatten,
258).
Return to text
8. A more subtle semantic inversion can be noted in the
substitution of the flower in the left-hand corner of the painting: in Italy,
the white chrysanthemum signifies death.
Return to text
9. Ibid., 55. Her concept of ethos draws on the
work by the Groupe MU in Rhétorique generale (Paris: Larousse, 1970).
Return to text
10. Ibid., 54.
Return to text
11. See Edwin L. Battistella, The Logic of Markedness (New York: Oxford
University Press, 1996). For instance, the opposition between man and woman are
defined by markedness values since the former includes the latter in creating a
categorical asymmetry.
Return to text
12. Hutcheon, 34. In supporting Kristeva’s position,
Roland Barthes defines intertexuality as a modality of perception, an act of
decoding texts in light of other texts.
Return to text
13. For a discussion of Corigliano’s opera, see Jane Piper Clendinning,
“Postmodern Architecture/Postmodern music,” in Postmodern Music/Postmodern Thought, eds.,
Judith Lockhead and Joseph Auner (New York: Routledge, 2002): 119–140.
Return to text
14. Roswitha Mueller, “Learning for a
new society: the Lehrstück” in The Cambridge Companion to Brecht, eds. Peter
Thomson and Glendyr Sacks (London: Cambridge University Press, 1994), 79–81.
Return to text
15. Sheinberg, 43–49; 316–317. Her contextualization of
“existential” irony in Shostakovich’s late symphonies derives from Hegel’s and Kirkegaard’s
approach to irony as the embodiment of the dialectical principle of negation.
Return to text
16. A parodied element may reference a particular topic
that indexes a stylistic convention, like the Dies Iraes motive that
signifies death or the lamentoso bass line that triggers a Baroque-style
tragic effect (Hatten, 61).
Return to text
17. Ibid., 37–38.
Return to text
18. The opera begins with the investigation of Rosa’s
mysterious death, followed by scenes that retrace the events that led to his
murder.
Return to text
19. For instance, the presence of the harmonica that
doubles the melody was intended as a musical tribute to Ennio
Morricone, the celebrated composer of spaghetti-westerns, which are in
themselves parodies of Hollywood westerns. Morricone uses the harmonica as a
recurring device in his musical setting of the film Once upon a time in the
West.
Return to text
20. Sheinberg, 23. In equipollent opposition, A vs. B,
where A=not B and B=not A, neither poles are based on markedness.
Return to text
21. Ibid., 146. In this case, the signals that efface the
affect of “yearning” are multiple: the expressive marking “avec une
grande emotion” that exaggerates the quoted motif and the incongruous
juxtaposition of the grace-note figures that make a mockery through simulating
laughter.
Return to text
22. Ibid., 170. Hatten defines trope as “a species of
creative growth that goes beyond the typical articulation of established types
and their implied hierarchy. Troping akin to metaphor occurs when two different,
formally unrelated types are brought together in the same functional location so
as to spark an interpretation based on their interaction” (295).
Return to text
23. Paul Griffiths, Peter Maxwell Davies (London:
Robson Books, 1982), 67.
Return to text
24. Davies provides the following commentary in the score:
“In some ways, I regard the work as a collection of musical objects borrowed
from many sources, functioning as musical ‘stage props’, around which the reciter’s
part weaves, lighting them from extraordinary angles, and throwing grotesque and
distorted shadows from them, giving the musical ‘objects’ an unexpected and
sometimes sinister significance.”
Return to text
25. Douglas C. Muecke, Irony and the Ironic (New
York and London: Metheun, 1970), 28.
Return to text
26. Griffiths 67. Foxtrots masquerade as pavanes even in a
Purcell arrangement Davies made in 1968.
Return to text
27. Muecke, 29.
Return to text
28. In close approximation to Peter Burkholder’s concept
of cumulative form in Ives’s music, the variations precede the full statement of
the theme. See Peter J. Burkholder, All Made of Tunes: Charles Ives and the
Uses of Musical Borrowing (New Haven and London: Yale University Press,
1996).
Return to text
29. Louis Andriessen, The Art of Stealing Time: Louis
Andriessen, English translation by Clare Yates (East Sussex: Arc Music
2002), 329.
Return to text
30. Hatten, 174–184.
Return to text
31. For a more comprehensive discussion on intertextuality, see Michael Klein,
Intertextuality in Western Art Music (Bloomington: Indiana University, 2005), 11–13.
Return to text
32. Hal Foster, The Anti-Aesthetic (Seattle, WA:
Bay Press, 1983), xii. In this vein, Harrison Birtwistle’s Punch and Judy
(1966–7) stands out as one of the most provocative non-traditional opera that
assimilates aspects of Greek tragedy, Baroque opera, and the Bach Passions.
Return to text
Copyright Statement
Copyright © 2004 by the Society for Music Theory. All rights reserved.
[1] Copyrights for individual items published in Music Theory Online (MTO) are held by their authors. Items appearing in MTO may be saved and stored in electronic or paper form, and may be shared among individuals for purposes of scholarly research or discussion, but may not be republished in any form, electronic or print, without prior, written permission from the author(s), and advance notification of the editors of MTO.
[2] Any redistributed form of items published in MTO must include the following information in a form appropriate to the medium in which the items are to appear:
This item appeared in Music Theory Online in [VOLUME #, ISSUE #] on [DAY/MONTH/YEAR]. It was authored by [FULL NAME, EMAIL ADDRESS], with whose written permission it is reprinted here.
[3] Libraries may archive issues of MTO in electronic or paper form for public access so long as each issue is stored in its entirety, and no access fee is charged. Exceptions to these requirements must be approved in writing by the editors of MTO, who will act in accordance with the decisions of the Society for Music Theory.
This document and all portions thereof are protected by U.S. and international copyright laws. Material contained herein may be copied and/or distributed for research purposes only.
Prepared by Brent Yorgason, Managing Editor and Rebecca Flore and Tahirih Motazedian, Editorial Assistants

















