Prompting Performance: Text, Script, and Analysis in Bryn Harrison’s être-temps
Nicholas Cook
KEYWORDS: analysis, performance, notation
ABSTRACT: Taking as its focus a piano solo work by the British composer Bryn Harrison, this article focuses on the manner in which complex rhythmic notation functions not (or not simply) to specify a sound object, but to prompt a performative interaction between pianist and score—an interaction that needs to be renewed on each occasion of performance. It is based on documentation of the first performance, given by Philip Thomas, including recorded rehearsals and interviews with both composer and pianist.
Copyright © 2005 Society for Music Theory
[1] I take as my starting point an argument that I’ve made in another article:(1) that you can’t draw a categorical distinction between the kind of improvisation found in jazz and the kind of performance “of” pre-existing scores characteristic of the Western “art” tradition. The impetus to make this kind of categorical distinction comes from the literature of jazz, perhaps as a result of critics and musicologists who seek to construct their own cultural identity in opposition to the perceived hegemony of thinking associated with the Western “art” tradition. (Move outside academia and that might seem an absurd contention in relation to the actual hegemony of popular musics, but that would be a third article).
[2] I can focus what is at issue through two diametrically opposed quotes. On the one hand, Ingrid Monson writes that “meaningful theorizing about jazz improvisation at the level of the ensemble must take the interactive, collaborative context of musical invention as a point of departure. This context has no parallel in the musical practice of Western classical composers of the common practice period”.(2) On the other hand, Alfred Schutz writes that “there is no difference in principle between the performance of a string quartet and the improvisations at a jam session of accomplished jazz players”.(3) Reconciliation is impossible; the standoff could hardly be more complete.
[3] In the original paper I referred to, I pursued a circuitous route that took in, among other things, ideological issues relating to orality as against literacy that boil down to something close to racial essentialism. I’m not going to open that can of worms now, and will instead move directly to a very simple demonstration of why I don’t think Monsons distinction between jazz and ‘the musical practice of Western classical composers of the common practice period’ stands up. All I need do is juxtapose two passages by musicians who combine an academic career with a high level of performance accomplishment. The first is from Monson herself (she plays jazz trumpet): she writes of a particular moment in the Jaki Byard Quartet’s recording of “Bass-ment Blues” that
Dawson anticipates and reinforces Tucker’s continuing triplet rhythms in measures 5 and 6 by playing a triplet-based fill between the snare, tom-toms and bass drum. . . . [Dawson] reinforces the flow of triplet eighths in the solo bass line. . . his accentuation on the snare articulates a quarter-note triplet against this flow that pushes towards completion on beat 3 of this measure. Dawson could not have known for sure whether Tucker would continue with eighth notes in measure 6 but correctly anticipated that he would. . . . While Dawson’s decision to play triplets in measure 6 might be predicted in a syntactic sense. . . there is nothing that could have predicted the exact choices made by these individual musicians. Such spontaneous, fortuitous moments of coming together or hooking up are highly prized by musicians.(4)
[4] And now compare John Potter’s (1998: 178–82) account of singing a passage from Antoine Brumel’s Missa Victimae Paschali:
The superius and bassus enter together but have to negotiate the tempo, since there is no movement on the second beat. This immediately means that the two singers are in very close aural contact with one another. The altus imitates the superius half a bar later, so he has to have been in similarly close contact with the superius, who has been giving him the music. At the end of bar 1 for a brief instant the three singers sound a G, an A and a B flat simultaneously. It is only a passing moment but it creates a moment of acute pleasure that they may wish to prolong. . . . There is a high degree of mutual trust as the scales rise and fall. . . . [T]he voices are setting up patterns of tension and relaxation, acutely conscious of each other, both seeking to accommodate each other’s desires and to satisfy themselves.(5)
[5] And whereas Potter isn’t talking about music of the common practice period, the sort of approach he is putting forward is just as applicable to, say, a Mozart quartet. What happens in the performance of music like this? The players may well play the notes exactly as Mozart wrote them. And yet they don’t play them exactly as Mozart wrote them, because every note in the score is subject to the contextual negotiation of intonation, precise dynamic value, articulation, timbral quality, and so forth. For example, the performers stay in time not because each accommodates his or her playing to an external beat (as when studio musicians record to a click track), but because each is continuously listening to the others, accommodating his or her timing to the others’, giving rise to a shared, communal temporality. This kind of social interaction takes place in the interstices of the score, in the zones of indeterminacy incorporated within it: either because the notation doesn’t specify something at all (timbre, for example, beyond the specification of the instrument), or because the score supplies a categorical value that isn’t intended for literal execution but instead needs to be negotiated and refined in performance. Monson argues for an understanding of musical structure that has “as one of its central functions the construction of social context”.(6) She is thinking of jazz, but any Mozart quartet embodies this: the score choreographs a series of ongoing social engagements between players, setting up a shared framework or goal (a shared mission, if you like) but delegating detailed decisions to be made in real time by the relevant individuals in light of local conditions—to be improvised, in short, as so much in everyday life is. A Mozart quartet is not just a representation but an enaction of community.
[6] I have argued elsewhere(7) that there is a mismatch between the everyday practices of musical culture and the composition-centered, which is also to say score-centered, ways in which musicologists represent that culture, and I don’t want to repeat those arguments here. In brief, the principal source of this orientation towards the written text lies in the origins of musicology within the nineteenth-century project of nationalist philology; this gave rise to the idea that meaning is inherent in the text, so that performing it becomes an act of reproduction, something essentially peripheral to musical culture (in the same way that reading aloud is seen as peripheral to literary culture). A further formative influence on musicology was the cult of the composer that began in Beethoven’s lifetime and reached a climax around a century later. The idea of the musical text that results from this is rather different, in that it is seen as a vehicle for the composer’s voice, so that the performer’s job becomes less one of reproducing the text than of conforming to the intentions behind the text; on this model, meaning may not be inherent in the text—but it is still predefined, so that performance remains a matter of getting it right, of adequacy, rather than of contributing in a fundamentally creative manner to the generation of musical meaning in real time. But having said this, we don’t really believe that performance is such a banal activity as this would suggest. There is, that’s to say, a mismatch between what we believe and the conceptual apparatus at hand for expressing those beliefs.
[7] Yet the score of Bryn Harrison’s être-temps might look like a vindication
of the “performance as reproduction” paradigm. On the fourth page, for example
(Example 1), there are two broadly similar passages ending in a trill, and Harrison
employs a device borrowed from Morton Feldman: the same pattern of irregular
time signatures appears on each system within a page (the next page is
completely different). What is basically happening is that the same musical
material is being passed through different metrical grids, or more precisely
it's being passed through the same metrical grids but offset. That means that
the composer has to look for a different pattern of rhythmic approximations each
time the material appears, as it were presenting it from a different metrical
perspective, so that as Harrison puts it “I think what you
[8] The outcome of this process is a forbiddingly complex notation full of nested irrational relationships: in this respect it looks like something from Finnissy or Ferneyhough. And if you are going to use such complex rhythmic notation to represent your music, it stands to reason that you want it to be very accurately performed: after all, if it isn’t exactly this rhythmic execution that you are after, then what possible justification can there be for using so challenging a notation, as against for example using a space-time notation? That, it would appear, is what Harrison meant by a “good performance”, as you can see if I provide more of the passage I have just quoted:
BRYN HARRISON: Obviously I’d like to think of the player as aiming for as much rhythmic precision as possible, and in fact although I’d have to go over and really work out those figurations myself to know just exactly how accurate that is, I think what you. . . get in a good performance is a sense of this spatial contraction and expansion and things going softly against each other.
[9] Of course, the suspicion to which such notations have given rise ever since Stockhausen’s Klavierstücke I–IV is that nobody does perform them accurately, and that they serve at most to deconstruct sedimented patterns of eye-hand interaction, perhaps resulting in performances that have an improvisatory feel hard to create otherwise. As a matter of fact, however, Philip Thomas’s performances were remarkably accurate in terms of durational realization. At this point I should explain the nature of the project on which I’m now drawing, which was a collaboration between Bryn Harrison, Philip Thomas, Eric Clarke, and myself. Thomas, a pianist based in Sheffield who specializes in contemporary music, commissioned être-temps for a series of concerts in which he was also playing music by Morton Feldman. Both acoustic and MIDI recordings were made of the rehearsals and the first public performance (Thomas was playing a Yamaha Disklavier grand), and in addition Clarke interviewed both Thomas and Harrison shortly after the first performance. In addition we recorded a run-through early in the rehearsal process in which Thomas and Harrison worked together. The quotations I use in this paper come from these various sources, plus the contributions of each of the collaborators to a forthcoming article.(8)
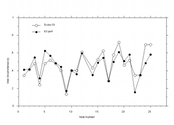
Figure 1. Timing profile for mm. 70–73, treated as a single composite
(click to enlarge)
Sound Example 1
[10] Clarke analyzed the MIDI data of various passages from être-temps in order to measure the extent to which Thomas’ playing actually corresponded to the specifications of the score. Of course, it’s not entirely obvious what the best way to measure this might be, given the textural as well as rhythmic complexity of the music, with what are notated as three interlocking lines—though the effect isn’t of three independent lines but rather of a more homogeneous, rippling texture. Clarke’s first approach, as you might expect, was to measure how accurately each note was timed, treating the texture as a single, composite series of attacks: Figure 1< shows the data for the top line of page 4 (measures 70–73), with the open circles showing the notated values, and the filled-in ones the performed ones. (Thomas’s performance of the whole of this page at the premiere is reproduced as Sound Example 1.) Without going into details, the overall durational profile is reproduced reasonably accurately, but there is little correspondence in terms of rhythmic detail; that would be compatible with the cynical view of notational complexity I put forward in the previous paragraph.
[11] However this approach doesn’t correspond to the way in which Thomas actually learnt the piece. In his article contribution, he says of this passage:
Each of the three lines has its own internal energy, which is difficult to sustain throughout its duration. I felt that the only way to learn this was to get to know each line on its own, and then in pairs before putting them all together, much like Bach counterpoint. In order to ascertain the degree to which a note in one voice occurred very soon after or just quite soon after another voice I would in some cases have to calculate the relationships to the nearest hundredth of a second to be sure of the correct order, and temporal proximity, of the events. When putting everything together I would then find points that I could identify as markers, such as a downbeat in one voice which the other voices could respond to, always trying to hear the individual energy of each line as learned on its own.
[12] So Clarke now looked at the timing profile of each individual line, instead of measuring it across the composite texture (Figure 2). This graph shows the data for just the lowest voice across the whole of page 4, and—again without going into details—you can see that this time there is a much closer fit, and the same applied to the other lines too. In terms of how Thomas conceived and operationalized the music, then, his performance was extremely accurate, and in fact was so almost from the beginning of the rehearsal process; as Clarke comments in the article, “This then is powerful evidence for the rhythmic integrity of the three individual voices, and their very close relationship with the rhythmic notation of the score.”
[13] So far, then, it might seem that the idea of performance as reproduction is vindicated: even in music as complexly notated as this, the performance corresponds as closely to the score as it would be reasonable to expect, and Thomas’ account of how he learnt the piece—practicing each line separately before putting them together, even using a calculator to work out the exact relationships between them—might well suggest that accurate rendition, in a word reproduction, was his aim. In fact, if anything, Thomas seems to underestimate the accuracy of his performance, as came out in an exchange between him and Clarke (they were talking about a passage on page 6 of être-temps):
ERIC CLARKE: But God, I mean it’s, does he really want it so, I mean, you know, like the second bar of page 6, you’ve got a 3 in the time of 2, within a 6 in the time of 5, within a 5/16 bar. . .
PHILIP THOMAS: Oh, but that’s not complicated, really, that’s, forget the six in the space of five, so if you played it without the six in the space of five it would be [sings], and six in the space of five simply means it’s a little bit faster, so those two bars would be [sings], you just simply nudge the beat on a bit faster. . . . I mean it’s correct as I, I mean, hearing it on the Disklavier, if someone was going to really meticulously see the timings of that, then it would be different every time. I’m not going to be, it’s not going to be exact. . . . I hope no one listens to music really hearing things as they are, 6 in the space of 5. . . . It’s just a notational device which encourages me to just move on a little bit here.
[14] That final comment indicates that, for all the accuracy which he actually achieved in performance, Thomas thought of the notation less as the specification of a sound object than as a stimulus to the performer to respond in a musically meaningful way. Indeed he came back to this several times in the interview:
PHILIP THOMAS: This is a classic kind of notational device to prompt the performer to respond in ways which will always keep it floating and never rooted in anything, always keep it changing. . . . It’s not highly calculated stuff, it’s more a way of just inspiring the performer to do certain kinds of things, and hopefully the listeners won’t be thinking about how is that notated too much, you know, as you say, it’s just this constantly fluctuating, it’s a wash of sound, the same notes the whole time, just the pedal down, I think it’s very beautiful.
[15] But the most revealing statement came in the run-through with Thomas and Harrison. Thomas had just played the same passage that he and Clarke had discussed at the interview, and the following exchange took place:
PHILIP THOMAS: How does it feel the last section, when it’s more complicated rhythm between the two hands?
BRYN HARRISON: You can feel the change from something that is in one metre to two, definitely, you get a slight feeling of acceleration as well, which is nice.
PHILIP THOMAS: Do you think it’s accurate? I think I’m pretty accurate.
BRYN HARRISON: As far as I can tell, I’m struggling to tell. . . .
PHILIP THOMAS: You kind of do it so much, I’ve practised it, and then you get used to it, and it gets compromised again, so I’ve got to keep kicking myself in the arse to kind of take it apart again, I think that’s the problem, I’ve got to keep unraveling it.
BRYN HARRISON: Otherwise you get used to the sound and keep imitating yourself in a slightly inaccurate way really.
[16] Performance, then, as Thomas conceives and practices it, isn’t a matter of reproducing an overlearnt series of actions, however accurately. Rather, it consists of an interpretive engagement with the notation that can only be done in real time, that has to be enacted afresh on each occasion of performance—and it is here that I come back to the hidden social dimension of solo performance that I talked about, for this engagement with the notation is a two-way process, a process of interaction, a vehicle through which performance acquires the quality that Lonnie Hillyer ascribed to jazz improvisation when he spoke of it as “really like a guy having a conversation with himself”(9). And as Thomas sees it, the result of this real-time interaction is the generation of a kind of energy which wouldn’t otherwise be there. This is how he explains it in the joint article:
As I devise a strategy for counting, a certain energy is created in my mind which impacts upon the articulation of the gestures. Page 5, for example, consists very simply of the same three-note cluster repeated at different dynamics, with slightly different durations, and positioned irregularly throughout the page. The complexity of the counting needed to measure accurately the lengths of the intervening rests is, of course, unheard by the listener; but the impact of that counting upon the articulation of the cluster across time is such that each sound has its own energy. If Bryn had notated this using either a simpler rhythmic strategy, or space-time notation, that energy would, I suggest, be noticeably lacking.
[17] The result is that in terms of human activity there is a real difference between performing and, so to speak, merely imitating the sound that performance makes. This is something that Thomas spelled out in his interview, too, in connection with the idea that you can perform Ferneyhough’s music by reducing the rhythms to a simpler metrical framework which can then be subjected to nuance, so reproducing more or less the effect of the original notation: This kind of simplified transcription, Thomas complained, suggests that the original notation is needlessly complex—“and it is a completely ridiculous notion”, he added, “because it’s as if rhythmic notation affects duration alone, but of course it doesn’t”. In this way the transcription “would sound entirely different from what Ferneyhough had written, the effect would be completely different”.
[18] The extent to which this difference—the difference in energy that Thomas spoke of—actually communicates itself to listeners is a question that could only be settled by further empirical work. But I hope I have said enough to establish the general point I wanted to make. We have here the kind of music that, with its abstract, mathematical notation, might be thought most amenable to the paradigm of performance as reproduction, and analysis of the MIDI recordings shows that accuracy of reproduction is achieved to a remarkably high degree. And yet, at the same time, an ethnographical approach reveals a quite different conception—what would once have been called a folk theory—and, presumably, a quite different pattern of intentional activity on the musicians’ part (for it is obvious from the transcript of the play-through session that Thomas and Harrison were thinking along very much the same lines). And here there are three points I would like to bring out.
[19] The first of these points is that there is space in both Thomas’ and Harrison’s thinking for the performer. In his interview Harrison said this in so many words:
BRYN HARRISON: I wouldn’t want to feel I was one of those composers who feel that there’s no flexibility in terms of what the player can bring to a piece, I think that’s where the sort of human aspect comes in and I think that that’s the really, really important part of music-making as far as I’m concerned.
[20] But he also said something that grounds this view of the performer’s role in his thinking about composition. Referring to the New York-based artist and friend of John Cage’s, Harrison observed:
BRYN HARRISON: Jasper Johns said that “Sometimes I see it and then paint it. Other times I paint it and then see it”. And I really like that quote, because I think in some ways the way that I’m dealing with rhythm and the setup on the page, it’s not purely deterministic in my point of view, even though you know, it’s carefully regulated on the page but in some ways I’m writing it to hear it, as much as I’m hearing it to write it.
[21] In other words, in contrast to the still influential nineteenth-century idea of the composer possessing a vision which is communicated through the score, Harrison understands composition as a process of discovery—a process which does not come to an end when the score is completed, but continues into the performance:
BRYN HARRISON: I think the thing I’ve learnt is that you don’t have to have the answers to every question as well, I think you know, when I first started getting performances and I’d go and attend rehearsals, you know I was, well I was probably scared stiff for one thing, but there was always this feeling that any question that a player had you had to feel you immediately knew the answer to that question, and of course you’ve got to trust their judgment as well.
[22] As well as creating a space for the creative contribution of the performer, in a way that the reproduction paradigm does not, these comments emphasize the extent to which the meaning of music is emergent, in other words to which it arises from the act of performance itself.
[23] The second point I’d like to draw out is that approaches to performance analysis that focus exclusively on recordings—on the acoustic outputs of performance—risk misreading or simply not grasping the social meaning inherent in the act of performance: much as I applaud the efforts that have been made in the last decade or two to develop a musicology of performance, we are vulnerable to the claim that the voices of performers have not really been heard, that theorists have as it were taken it upon themselves to speak for performers in a kind of ventriloquism. If that is the case, then the project I have been describing is in the most literal way an attempt to bring performers’ voices into the field of study, and the suggestion I am making is that ethnographic approaches have a great deal of potential for contextualizing the now more traditional approaches to the empirical study of performance.
[24] The final point follows on from this. When the “New” musicologists of the 1990s identified what they saw as a complicity between traditional musical analysis and the ideology of musical autonomy, they reacted against the whole of idea of “close reading”; the same happened when, a decade or two before that, theatre studies broke away from literary studies. But there is no need to throw away the baby with the bathwater, because there is not an either/or relationship between ethnographical, contextual approaches on the one hand, and the close reading of texts (under which I include both scores and performance data) on the other. Moreover, in music of the Western “art” tradition, this both/and relationship extends to the very topic of study. In the wake of Lydia Goehr’s influential book The Museum of Musical Works, there was a general tendency to debunk the idea of musical works, and it would be very easy to imagine a musicology of performance that went the same way as theatre studies. (Christopher Small’s writings, however valuable as a corrective to the then prevailing assumptions of mainstream musicology, provide an idea of what such a musicology of performance might look like.) Yet one of the characteristic features of the Western “art” tradition is the dual life of musical works: on the one hand as frameworks for a performance culture that is distinguishable from that of jazz improvisation only in terms of degree, not category; and on the other, as objects of contemplation or critical reflection, if only to that small but culturally influential circle of the musical literati.
[25] In moving so rapidly from Bryn Harrison’s être-temps to music in general I am, of course, implying that the kind of performative meaning I have been talking about is something present in musical performance in general, at least within the Western “art” tradition, rather than something purely idiosyncratic, applying only to “New Complexity” music, or perhaps more generally to music outside the so-called “common practice” tradition. Philip Thomas, it appears, would incline to the latter view. Immediately after the passage from our joint article in which he talks about energy, he discusses the way in which the use of bar lines affects the manner of performance: the notation of the opening gesture as occurring after a semiquaver rest, he says, “suggests to the performer a different way of breathing, if you like, with the initial attack bouncing off an imaginary wall rather than coming down on the traditional down-beat”. Having cited some other, similar cases, he continues:
Here we see how despite the apparent rigidity of the barring structure that Bryn laid out for himself, he has used the bars to bring life to the material and not simply to contain it. These are examples of the notation playing a crucial role in the nature of the material. One could feasibly learn, say, a Beethoven sonata in a purely aural manner, simply through repeatedly listening to a recording: the correct pitches, rhythms, tempi, dynamics, and so on could all be learned in this way. But in être-temps, and much music like it, the visual appearance of the notation is fundamental to the character and production of the material: the notation and the material are inseparable.
[26] Yet I wonder if the contrast with a Beethoven sonata is as self-evident as it might appear. Certainly you could learn a Beethoven sonata that way. But such an approach runs counter to the established pedagogical view that you make music your own by going back to the score and creating your own interpretation of it. And after all, in principle you could (with whatever difficulty) do the same with Harrison’s music: the point Thomas is making isn’t really so much that this can’t be done, but that a certain energy—a dimension of the music that derives from the often uneasy relationship between score and sound, between written notation and acoustic realization—will be lacking. And if that is true of Harrison, then I see no reason to believe that it is not true of Beethoven as well. To say that there is more to musical performance than the sound it makes may sound merely flippant. But to do justice at one and the same time to the sight and the sound of music is perhaps the most challenging demand we face in making sense not just of musical performance, but of the tradition of Western “art” music itself.
Nicholas Cook
Department of Music
Royal Holloway, University of London
Egham, Surrey TW20 0EX
UK
nicholas.cook@rhul.ac.uk
Footnotes
1. “Making Music Together, or Improvisation and its
Others,” The Source: Challenging Jazz Criticism 1 (2004), 5–25.
Return to text
2. Ingrid Monson, Saying Something: Jazz Improvisation
and Interaction (Chicago: Chicago University Press, 1996), 74.
Return to text
3. Alfred Schutz, “Making Music Together: A Study in Social Relationship,” in Arvid Brodersen (ed.),
Alfred Schutz: Collected Papers II: Studies in Social
Theory (The Hague: Nijhoff, 1964), 177.
Return to text
4. Monson, 141–3.
Return to text
5. John Potter, Vocal Authority: Singing Style and
Ideology (Cambridge: Cambridge University Press, 1998), 178–82.
Return to text
6. Monson, 186.
Return to text
7. “Between Process and Product: Music and/as Performance,” Music Theory Online
7.2 (2001).
Return to text
8. Eric Clarke, Nicholas Cook, Bryn Harrison, and Philip
Thomas, “Interpretation and Performance in Bryn Harison's être-temps” (Musicae Scientiae,
forthcoming), on which the following draws; I am grateful to my co-authors and
to Irène Deliege for permitting me to reproduce materials from this publication.
Return to text
9. Quoted in Paul Berliner, Thinking in Jazz: The
Infinite Art of Improvisation (Chicago: University of Chicago Press, 1994),
192.
Return to text
Copyright Statement
Copyright © 2005 by the Society for Music Theory. All rights reserved.
[1] Copyrights for individual items published in Music Theory Online (MTO) are held by their authors. Items appearing in MTO may be saved and stored in electronic or paper form, and may be shared among individuals for purposes of scholarly research or discussion, but may not be republished in any form, electronic or print, without prior, written permission from the author(s), and advance notification of the editors of MTO.
[2] Any redistributed form of items published in MTO must include the following information in a form appropriate to the medium in which the items are to appear:
This item appeared in Music Theory Online in [VOLUME #, ISSUE #] on [DAY/MONTH/YEAR]. It was authored by [FULL NAME, EMAIL ADDRESS], with whose written permission it is reprinted here.
[3] Libraries may archive issues of MTO in electronic or paper form for public access so long as each issue is stored in its entirety, and no access fee is charged. Exceptions to these requirements must be approved in writing by the editors of MTO, who will act in accordance with the decisions of the Society for Music Theory.
This document and all portions thereof are protected by U.S. and international copyright laws. Material contained herein may be copied and/or distributed for research purposes only.
Prepared by Brent Yorgason, Managing Editor and Rebecca Flore, Editorial Assistant




