Modulation and Chromatic Mediants in Japanese Anime Songs*
Joy Li
KEYWORDS: Popular music, J-pop, anime songs, video game music, chromatic mediants, modulation, neo-Riemannian theory, reciprocal process, verse–prechorus–chorus form, topic theory
ABSTRACT: Modulation often demarcates formal zones in Western art music, one notable example being the contrasting tonal settings of themes in sonata expositions. In popular music styles from the mid and late twentieth century, observers have likewise identified a frequent modulation of a verse in minor to its relative major upon the arrival of the thematically contrasting chorus. Following this, I characterize in this article a system of chromatic modulations found commonly in an understudied genre of modern Japanese popular music—anime songs—where sections are tonally related by minor third transpositions.
Modulations directly relate to formal structure in anime songs. The prechorus and postchorus sections operate as tonal transitions, functionally poised to establish subsequent key centers. These modulations are also harmonically diverse, using both classically normative resolutions as well as chromatically modulating cadential resolutions of dominant function sonorities. The repertory of anime songs provides excellent models for studying how harmony and tonality intersect with form in popular music.
DOI: 10.30535/mto.32.1.0
Copyright © 2026 Society for Music Theory
Introduction
[1.1] The Japanese TV anime song (anison) “Idol” by superduo YOASOBI (2023), set as the music to the opening credits of the drama anime Oshi no Ko, was a record-breaking international success. “Idol” peaked at #7 on the Billboard Global 200 chart, became the first Japanese popular song to top the Billboard Global Excl. US chart(1), and, as of 2024, the music video sits at over 500 million views on YouTube.(2) Despite the popularity of anime songs, this repertory is still in the early stages of discourse within the English language academic music theory community (Nazaré 2023)(3), especially when compared to scholarship on music from the other major sector of globalized Japanese popular screen media: Japanese video games (Anatone 2023, Mc Glynn 2023, Merlini 2023, Armstrong 2021, Atkinson 2019). Recent scholarship from Maxwell Ramage (2023) and Tân Nazaré (2023) formalize some examples of known compositional elements of anime songs, such as the verse–prechorus–chorus formal architecture(4), the Royal Road Progression(5), and the Japanese augmented sixth chord.(6) Outside of academic publications, anime songs have also notably drawn observers within public music theory, an area gaining academic recognition in recent Music Theory Spectrum articles (Rodgers 2025; and Jenkins 2025). Several high-profile music theory YouTube channels such as Ryan Leach (2022) and David Bennett (2022), among others, have created videos about chord progressions in Japanese anime and video game music. These projects have often seen viewership range from several hundred thousand to several million views per video, demonstrating great public interest in Japanese popular music theory beyond academic venues. There has also been English translations of two volumes of Chino Kayano’s Japanese Music Harmony series (2020a; 2020b) which offer extensive taxonomy and examples of harmonic schema found in Japanese popular music. Building on the work of both academic and public-facing theorists and observers, this article aims to elucidate additional tonal, harmonic, and formal features of this repertory.
[1.2] Most modern anime songs fall under the larger eclectic genre of J-pop which emerged during the 1990s. Although J-pop shares some musical elements with post-1960s Western pop/rock, J-pop also brandishes aesthetics novel to both these repertories as well as the older enka, ryûkôka, and kayōkyoku styles of Japanese vocal music popular during the first three quarters of the 20th century (Ramage 2023; Nazaré 2023; Stevens 2012; Moody 2006; and de Ferranti 2002). Anime songs particularly, are perhaps the most accessible and prevalent form of J-pop in the context of global engagement. Carolyn Stevens (2012, 30) argues that “anime seems to be the main vehicle for delivering J-pop to a worldwide audience,” and Mattia Merlini (2023, 31) likewise points to anime music as being “popular worldwide… seen as quintessential products of contemporary Japanese popular culture”. Increasing numbers of anime productions have been licensed for global audiences in recent years through streaming platforms such as Netflix and Crunchyroll, furthering the intercultural reach of the music genre.(7)
[1.3] While post-millennial anime songs are compositionally intertwined with J-pop (with the two terms used almost interchangeably here), it is more precise to view the convergence of the two genres as a stylistic formulation from the 1980s and 1990s. Indeed, the origin of anime songs can be argued to extend further back to the early Shōwa era (1926–1945), where Japanese animation began featuring vocal music, as in the 1931 record talkie Kuro Nyago (“The Black Cat”) (Itō 2015; and Hotes 2012). During the stylistic genesis of modern anime during the Late Shōwa era (1945–1989), anime songs first emerged as a parallel current within Japanese popular music. As kayōkyoku gained international renown in the 1960s and 1970s through hits like Kyu Sakamoto’s “Sukiyaki”—which topped the Billboard Hot 100 in 1963—anime like Astro Boy (1963) and Space Battleship Yamato (1974) likewise produced popular theme songs resonating with Japanese audiences well beyond the shows themselves (Itō 2015). The rise of the Japanese pop idol and voice actor (seiyū) industries, together with television broadcasting, digital media distribution platforms, and the advent of J-pop,(8) further integrated anime songs within Japanese popular culture. J-pop further expanded internationally throughout the 1990s and early 2000s, particularly in East and Southeast Asia (Mōri 2014; and Wai-Ming 2008), with anime songs achieving broader global visibility more recently alongside Japanese TV anime entering the Western mainstream (Daliot-Bul and Otmazgin 2017). The modern anime song repertory will be the focus of the article.
[1.4] Despite many distinctive stylistic features which will be outlined in the next section, anime songs can nonetheless be productively examined using analytical approaches developed by Western popular music theory. Recent scholarship has focused on tonality and form in Anglophone pop/rock corpora, exploring how these musical dimensions shape genre identity.(9) Regarding tonality, Walter Everett (2004) classifies rock music into six tonal systems of varying degrees of compatibility with common-practice tonal structures. Nicole Biamonte (2010) offers modal readings of double-plagal and Aeolian progressions found in rock music that deviate from classical tonal practices, while Mark Spicer (2017) addresses how the absence or transience of tonic sonorities in popular music can manipulate tonal expectations. Studies have also commented on the tonal ambiguity of chord progressions such as the Axis Progression (Richards 2017) and Royal Road Progression (Ramage 2023). In response, theorists have proposed adaptive frameworks including the concepts of the double tonic complex (Nobile 2020b) and binary tonal system (Ramage 2023), by which to reconcile the frequent dualist relative major-minor tonal pairings of these harmonic idioms.
[1.5] Similarly, research on form in popular music has also deepened in scope. Jay Summach (2011) traces the emergence of the verse–prechorus–chorus cycle—grounded in Everett’s statement–restatement–departure–conclusion model (1999)—and its gradual displacement of verse–chorus form. Nathan Cobb (2025) further refines this model in recent post-2015 pop songs, where Cobb defines a “compound AAB” model with rotational boundaries of each cycle defined by changes in musical texture. Cara Stroud (2022) surveys types and functions of postchoruses, while Michael Callahan (2013) identifies a common sentential lyrical-phrase structure found in the Great American Songbook. Megan Lavengood (2021) analyzes how complement and cumulative choruses add thematic variety to closing chorus repetitions.(10) Drew Nobile (2022, 2020b) assigns specific harmonic and energetic roles to the sections of the verse–prechorus–chorus rotation cycle.(11)
[1.6] Tonality and form in popular music often intersect. In a previous issue of this journal, Christopher Doll observed that the chorus of rock music is often a “predictable place at which to encounter an expressive relative-major relocation” (2011, abstract). Doll’s work foregrounds not only specific harmonic gestures, but specific tonal gestures as being localized to sectional boundaries in popular styles. New work (Ramage 2023; de Clercq 2021; Nobile 2020b) has now highlighted tonal ambiguity in the relationship between relative major and minor key centers in popular music, expanding the nuance around tonal-sectional division Doll discusses. Building on Doll’s insights, this study focuses on a particular tonal strategy in anime songs—modulations by minor third chromatic mediants and submediants—that produces sharp contrast between sections and offers more pronounced examples of tonal-sectional division.
[1.7] The analysis of chromatic mediant transformations, drawing from the work of Richard Cohn (2012) and David Kopp (2002), has seen application in studies of screen music (Murphy 2023; Heine 2018; and Lehman 2018; 2013a; 2013b) and Western popular music (Forrest 2022; 2017; and Capuzzo 2004). Theorists have also analyzed chromatic mediant transformations emerging from the Romantic era Musikdrama of Richard Wagner (Bribitzer-Stull 2012; and Hunt 2007) and the Italian operas of Gioachino Rossini and others (Rothstein 2023; 2008). Jason Yin Hei Lee (2025) traces the origins of chromatic mediants of PL relation (M8M) in Western art music even further back to the Baroque and Classical eras. Lee proposes the term bifocal transition, when the dominant in a minor key resolves to the tonic of its relative major (i.e., a V–III resolution in minor or a III–I resolution in major) around sectional boundaries. While these studies have admirably characterized chromatic mediants from a semiotic perspective—tracing musically evoked tropes and clichés in film, text expression in popular music, or the conventional narrative semantics across time and space—chromatic mediant modulations and particularly, their role in formal structure, remains comparatively underexplored.(12)
[1.8] This article applies prior scholarship on both form and tonality of popular music to identify normative tonal behaviors of chromatic mediant modulations found at formal boundaries in anime songs. I organize my argument here into six analytical sections: First, I discuss generic audiovisual conventions of the anime song and perform a corpus study to examine the role of tonality in formal structure. In the two subsequent sections, I dissect two closely related chromatic mediant modulation types identified from the corpus study and provide a catalog of modulation techniques in the prechorus. Afterwards, I examine the role of these chromatic mediant modulations in the postchorus and draw comparison between verse–prechorus–chorus form and sonata form. I follow by demonstrating how the normative resolutions of these modal and diatonic dominants can facilitate broad expressive chromaticism outside of a traditional definition of modulation. I conclude with a brief semiotic analysis on the narrative role of chromatic mediant gestures outside of anime songs: in the cinematic soundscapes of films and video games.
Form, Harmony, and Tonality of the Anime Song
[2.1] Like YOASOBI’s “Idol,” many of the most popular anime songs are opening songs, set as the music to the title and credits sequence of Japanese television anime. These openings follow a robust structure built from a set of audiovisual tropes that has been reproduced consistently over the past three decades (Nazaré 2023). The opening song typically contains a single verse–prechorus–chorus rotation, lasting around 90 seconds. The title of the anime appears on screen during either in the intro or verse, while the song title appears during the chorus. Lyrics typically parallel the setting of the anime, and the overall style, instrumentation, and tempo of the music tend to reflect the anime genre.(13) Opening songs are often diegetic, where characters are shown on screen singing, or semi-diegetic, where one or more voice actors of the characters sing the opening song without an explicit in-universe performance.(14) Alongside these features, anime openings also draw on additional extramusical conventions in their audiovisual structure, such as placing action scenes in the chorus, introducing the extended cast and antagonists in the prechorus, and generally foreshadowing plot points of later episodes.(15) Many of the features here can be described as similar to sonata theory first-level defaults (Hepokoski and Darcy 2006), or as basal, essential features of an anime opening topic (Frymoyer 2017; Dickensheets 2012; and Ratner 1980).
[2.2] These opening tropes are so well-known that they have been parodied by anime such as the 2013 slice of life/comedy anime series Tesugare! Bukatsu-mono. The opening song “Stand Up!!!!,” performed by the voice actors of the four main characters, features self-referential lyrics which describes the events of the opening sequence with very literal audiovisual text painting in real-time (Example 1). As a parody, “Stand Up!!!!” also implements archetypal form and harmonic characteristics of the anime song style. The song moves through a single verse–prechorus–chorus cycle, with authentic cadences at the end of the verse and chorus sections and a half-cadence (HC) at the end of the prechorus. The diatonic I, IV, V, and vi triads frequently found in Western popular music—along with ii and iii—serve as the primary structural harmonies. Both expressive (i.e.,
Example 1. Opening sequence of Tesugare! Bukatsu-mono (2013) (translated English lyrics are italicized)
(click to enlarge)
[2.3] The consistency and reproducibility in style of anime opening songs was a main motivation for this article. Although many of the audiovisual tropes of the opening are well-established anecdotally, these observations—especially this apparent consistency in musical form—have not yet been studied in a systematic manner. Therefore, to better understand the formal setting of anime songs and elucidate additional uncharacterized formal-harmonic features, I conducted a brief corpus study. I surveyed the songs from the opening sequences of the most popular TV series on the anime database MyAnimeList, until I found one hundred songs set in a verse–prechorus–chorus form (Appendix 1).(16) As expected, most songs surveyed (92.6%, 100/108) were set in the form, truncated to a single introduction–verse–prechorus–chorus cycle with a total duration of approximately 90 seconds (Example 2.1). This configuration is commonly known as the “TV-size” or “OP” format of anime songs (Nazaré 2023) and is essentially a single “A” rotation of compound AABA’ form (Covach 2005). The postchorus section, which would double as the introduction of the second “A” cycle in the full-length J-pop/anime song (Example 2.2) can also be occasionally found in the OP format.
Example 2. Form graphs of the (2.1) “OP-format” and (2.2) full-length anime song (length and colors of bars represent normative sectional durations and thematic content, respectively; dashed borders represent sections frequently omitted)
(click to enlarge)
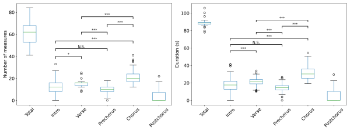
[2.4] Ramage (2023) proposes a relatively stable phraseological 16 + 8 + 16 measure structure for the J-pop verse-prechorus-chorus rotation (see endnote 5). Although this structure is indeed common from my own empirical understanding, the extent to which these proportions (and specific antecedent-consequent phrase relationships) operate as structural norms has not been reported. To assess this phraseology at the corpus-level, I present plots of the measure counts (Example 3.1) and the normalized-to-tempo duration (Example 3.2) of sections from verse–prechorus–chorus form songs surveyed in this corpus.(17) Note that the median lengths of the verse, prechorus, and chorus suggest that the chorus is typically slightly longer than the verse, with the median prechorus length being shorter than both the verse and chorus respectively (p ^lt; 0.001). This suggests that although Ramage’s proposed structure is indeed a common sectional setting, the large variability in section lengths between songs point to there also being other common structures of sections in the verse-prechorus-chorus rotation in the repertory. However, the approximate 90-second total song duration is surprisingly seldom perturbed and accommodates the variability of individual sectional durations.
Example 3. Boxplot of (3.1) measure counts and (3.2) durations for each section in OP-format anime songs from top-popularity TV anime; (3.3) boxplot of tempo distribution of OP-format anime songs with versus without postchoruses
(click to enlarge)
[2.5] The boundary sections of each rotation cycle—the introduction and postchorus—are even more variable in length and duration than most core (verse, prechorus, and chorus) sections. The postchorus is notably absent in 60% of songs, and its presence appears to be related to tempo. I report boxplot distributions of tempo in Example 3.3: one distribution with all songs containing postchoruses, and the other with all songs where the postchorus is absent.(18) The median tempo of the distribution containing postchoruses is more than 20 BPM faster than that of the distribution without postchoruses (p ^lt; 0.001). This suggests that to retain the 90-second total song duration, the postchorus may be jettisoned when the tempo is slow, or alternatively, appended on only at faster tempos.
[2.6] Example 1 contains one additional salient tonal-formal feature that I did not discuss: the chromatic modulation entering the chorus. To follow up on the tonal aspect, I reviewed the corpus for frequency of modulations and number of modulations per song. 41% of the anime songs of this corpus contained at least a single chromatic modulation, 21% contained at least 2 modulations, 7% contained at least 3 modulations, and 3% contained four modulations. Next, I assessed the incidence of specific modulation intervals by relating the closest intervallic distance between the major tonics of sections before and after a chromatic modulation. For example, a prechorus in C major moving to a chorus in B major would be given the intervallic notation -m2. This method discounts modulations between relative major/minor tonal centers, but as prior literature from numerous popular music scholars have argued, relative major/minor modulations are frequently interchanged in the context of tonality in pop/rock styles such that they do not represent true tonal departures.(19) These data are reported in Example 4.1. The modulation in Example 1 also has a formal role as it demarcates musical sections/zones like that of common-practice forms.(20) To follow up on the formal aspect, I set up formal categories to organize the modulations. I use the terms intersectional and intrasectional modulations, each in combination with the sub-rotation section(s) (intro, verse, prechorus, chorus, postchorus) where that modulation occurs. An intersectional modulation sees the tonal shift occurring either at the cadence of a sectional boundary or the downbeat of the subsequent section. Intrasectional modulations occur near an antecedent-consequent phrase transition within a section. These data are reported in Example 4.2.
Example 4. Frequency of modulations by (4.1) interval and (4.2) section in OP-format songs from top-popularity TV anime
(click to enlarge)
[2.7] Several modulation intervals and sections are notable from the two grouped bar plots.(21) In particular, the +m3 and -m3 modulations combined markedly account for over half (38) of the 72 modulations. Although modulation types such as the stepwise +m2/M2 “pump up” found commonly in Western popular styles (Doll 2011) are also found here (19.4%, 14/72), they are still far from the prevalence of the +/-m3 modulations. Incidentally, +/-m3 modulations as J-pop clichés have also been independently observed by YouTube content creator akabex (2025) following the submission of this article.
[2.8] For common modulation sections, the prechorus to chorus modulation makes up around 45.83% (33/72) of all sectional modulations, whereas the verse to prechorus and intro to verse modulations slightly trail behind at 18.05% (13/72) and 16.67% (12/72), as the second and third most common sections respectively. Intrasectional modulation intervals are far less common than their intersectional counterparts. This high frequency of modulations associated with the prechorus point to its role as a mediator of intersectional tonal transitions, and presents a natural point of entry for subsequent tonal-sectional analyses.
[2.9] Returning to the intervals of modulation, the +/-m3 modulations share several properties when considered as two parts of a system. Firstly, transforming a major tonic triad by these intervals results in chromatic mediant and submediant triads termed the upper flat mediant and lower sharp mediant respectively by Kopp (2002). These two chromatic mediant triads,
The PR Modulation
[3.1] Example 5, an excerpt of the prechorus and chorus of “Terminal Terminal” performed by Emiri Katō, demonstrates a simple, normative harmonic schema of the prechorus-based PR modulation. Starting with a predominant expansion in the prechorus (Nobile 2022; 2020b), the song then begins to ascend by step in m. 5. The bassline moves chromatically into
Example 5. Prechorus to chorus excerpt from “Terminal Terminal” (Emiri Katō, 2017) (click to enlarge) | Example 6. Prechorus to chorus excerpt from “ODDS&ENDS” (Hatsune Miku/ryo, 2012) (click to enlarge) |
[3.2] Another common, and closely related schema of the PR modulation occurs where
Example 7. Prechorus to chorus excerpt from “Sincerely” (TRUE, 2018) (click to enlarge) | Example 8. Prechorus to chorus excerpt from “I Say Yes” (ICHIKO, 2007). (click to enlarge) |
[3.3] Examples 5 through 8 have demonstrated three functional schemas in modulating to the upper flat mediant: using
Example 9. Prechorus to chorus excerpt from “Believe” (Folder 5, 2000)
(click to enlarge)
[3.4] Prechorus-based modulations can also occur at the verse to prechorus boundary, or in rare cases, intrasectionally.(25) If the tonal objective of the prechorus is to bridge the PR–RP relationship between the verse and chorus in songs featuring these modulation types, the verse to prechorus modulation can achieve the same effect as that of the prechorus to chorus modulation. Konomi Suzuki’s “This Game” (Example 10) contains a two-part verse which moves into the tonal center of
Example 10. Verse to chorus excerpt from “This Game” (Konomi Suzuki, 2014) (click to enlarge) | Example 11. Verse to chorus excerpt from “Extra Magic Hour” (Akino, 2014) (click to enlarge) |
[3.5] The partial tonic is an idea that Ramage posits to characterize IV in the Royal Road Progression. As an off-tonic chord initiating the progression, Ramage notes the tendency of IV to display certain “tonic-like” qualities outlined by Nobile (2016), David Temperley (2011), and Daniel Harrison (1994). These include hypermetrical stress as well as the harmonization of and —what Harrison identifies as scale degrees characterizing tonic—in IV and IV7 respectively. The post-transformation chorus initiating IV7 in Example 12, a prechorus to chorus excerpt from “Connect” by ClariS, functions as a partial tonic too. Although in Example 12, IV is transformed from an
Example 12. Prechorus to chorus excerpt from “Connect” (ClariS, 2011)
(click to enlarge)
The RP Modulation
[4.1] The RP modulation is a process reciprocal to the PR modulation. Rather than moving up a minor third root to the tonal center of the upper flat mediant, this modulation type moves down a minor third root to the tonal center of the lower sharp mediant. The RP modulation has the same collection of harmonic gestures as its PR sibling, including resolving directly into VI or resolving to the minor submediant of the VI in prechorus–chorus boundary modulations, as well as resolving to the predominant of the VI in verse–prechorus boundary modulations.
[4.2] In major, the III triad—although itself not diatonic—has secondary dominant function via resolution to two diatonic sonorities: a local deceptive resolution, V/vi–IV, and a local authentic resolution, V/vi–vi (Ramage 2023). The functional principle behind RP modulation is that the modulation arises from when III does not act as a dominant of the relative minor, but rather, acts from the relative minor’s parallel major (i.e., the tonic-to-tonic RP relationship, I–VI). In the same way that PR modulations use
Example 13. Prechorus to chorus excerpt from “Departure” (Masatoshi Ono, 2011)
(click to enlarge)
[4.3] The local V–I resolution via III acting as V/VI is not the only way for III to distance itself functionally as the dominant of a diatonic vi. The RP modulation also frequently uses the deceptive resolution of III in the same way that PR modulations use the deceptive resolution of
Example 14. Prechorus to chorus excerpt from “To The Beginning” (Kalafina, 2012) (click to enlarge) | Example 15. Prechorus to chorus excerpt from “Period” (CHEMISTRY, 2010) (click to enlarge) |
[4.4] Example 16, Nana Mizuki’s “No Limit,” features the most functionally complex modulation here with a relative minor authentic cadence in the lower sharp mediant’s tonal center by RP transforming III. Measures 7 and 8 briefly tonicize III, the
Example 16. Prechorus to chorus excerpt from “No Limit” (Nana Mizuki, 2015)
(click to enlarge)
[4.5] Lehman (2013a) identifies the prevalence of the subtonic half-cadence (S-HC),
[4.6] Like PR modulations, RP modulations can also occur at the boundary of the verse and prechorus. Example 17 contains a case of a verse–prechorus RP modulation, where a Picardy-aeolian cadence of the consequent phrase of the verse section (m. 23) results in a direct modulation into the new tonic. This tonic functionally doubles as V/IV and the subsequent arrival of a new predominant in the prechorus—IV in the tonal area of VI—confirms the modulation. The prechorus ends with another example of a non-modulatory RP-HC gesture via a local diatonic deceptive resolution into the chorus’ partial tonic IV.
Example 17. Verse to chorus excerpt from “Fearless Hero” (Nana Mizuki, 2012)
(click to enlarge)
Postchorus Modulations and Formal Considerations
[5.1] In addition to prechorus modulations, postchorus modulations also contribute significantly to establishing tonal-sectional boundaries. Although postchorus modulations only account for 12 of the 72 modulations in this corpus, they occur at a similar rate proportionally to prechorus modulations given only 40 of the 100 songs feature a postchorus in their OP format to begin with. Indeed, a secondary modulation must reciprocate the prechorus modulation to create a path back to the tonal center of the verse for the next verse–prechorus–chorus rotation in full-length songs.(28) This reciprocity is the underlying principle for why the PR/RP modulations should be considered as a system: if the verse to chorus transition (i.e., the prechorus) contains a modulation, the chorus to verse transition (i.e., the postchorus) must contain a reciprocal modulation. From the examples of either PR or RP modulating prechoruses I have identified three broad categories of common postchorus modulation types:
I. Postchoruses which stay in and end on a closed cadence the chorus’ tonal center (on any tonic or partial tonic sonority: IV(7), vi(7), or I) and chromatically leap into the verse’s tonal center.
II. Postchoruses which start in the chorus’ tonal center but end on an open cadence in the verse’s tonal center, which then diatonically resolves entering the verse.
III. Postchoruses which immediately start in the verse’s tonal center via a chromatic resolution of some chorus boundary sonority (most often a sonority with dominant function).
[5.2] Example 18, the postchorus of ICHIKO’s “I Say Yes” demonstrates the archetype of a PR-RP Type I postchorus modulation. Recall from Example 8 that this song contained a PR modulation from the verse to chorus transition, so the RP reciprocal transformation can be expected to occur before arriving at the second cycle’s verse. The HC in m. 8 at the chorus postchorus boundary, evades a cadence with I6 before the 8 measure postchorus leads into an authentic cadence in
Example 18. Chorus to verse excerpt from “I Say Yes” (ICHIKO, 2007)
(click to enlarge)
[5.3] Example 19, the chorus to verse transition of Nana Mizuki’s “Fearless Hero” demonstrates the archetype of a PR-RP Type II postchorus modulation. The reciprocal postchorus PR modulation closely resembles that of prechorus PR modulations seen in prior examples, using an ascending harmonic sequence leading to
Example 19. Chorus to verse excerpt from “Fearless Hero” (Nana Mizuki, 2012)
(click to enlarge)
[5.4] The chorus terminal boundary sonority in Konomi Suzuki’s “This Game” demonstrates the archetype of the PR-RP Type III postchorus modulation (Example 20). This type of modulation is less comparable to prechorus types as there is almost no functional preparation for the modulation. Rather, the chorus’ boundary iii here markedly resolves into vi7/VI.(30) Example 21, the chorus to verse transition of Nana Mizuki’s “No Limit,” contains a descending bass line cliché in the final 4-bar chromatic descent of the 12-bar chorus. This leads to an open cadence on V in the chorus’ key which functions as V/vi in
Example 20. Chorus to verse excerpt from “This Game” (Konomi Suzuki, 2014) (click to enlarge) | Example 21. Chorus to verse excerpt from “No Limit” (Nana Mizuki, 2015) (click to enlarge) |
[5.5] I have used the term “postchorus” broadly, referring to any distinct thematic or tonal instrumental section succeeding the first rotation’s chorus and preceding the second rotation’s verse. This follows Stroud’s functional assignment, though Stroud also recognizes that prior scholarship has asserted this “formal module
[5.6] One nuance that should be noted, however, is the different melodic material often encountered in the introductions of the two respective A rotations prior to the bridge. The first introduction may include material from both the chorus and “postchorus,” whereas the second introduction is melodically independent.(31) With intersectional modulations, tonal areas provide some clarity between defining a postchorus versus a second introduction. As a postchorus should broadly bring closure to the chorus while a second introduction implies the beginning of the next rotation, it may be most practical to use the tonal area of the verse to chorus transition to dynamically assign a sectional label to this module. Songs with Type I modulations contain a postchorus as the chorus to verse transition stays within the chorus’ tonal area, whereas songs with a Type III modulation contain a second introduction as the chorus to verse transition initiates in the verse’s tonal area. Songs with Type II modulations can be analyzed as a postchorus/introduction hybrid functional zone.
[5.7] Given these examples where the two principal thematic sections—the verse and chorus—are in two tonally distinct areas, the transitional prechorus results in a HC in the chorus key, and the postchorus provides tonal closure allowing for a return to the first tonal area (i.e., the tonal area of the verse), the tonal-sectional structure of these examples is reminiscent of the sonata form exposition. Although sonata and verse–prechorus–chorus forms are distantly related in terms of their stylistic histories, the apparent formal similarity has been recently alluded to by several popular music scholars through use of sonata-like terminology. These terms include “transition” to describe the prechorus (Nobile 2022; and Summach 2011), “codetta” to describe types of postchoruses (Stroud 2022), “rotation” to describe the cyclical nature of compound AABA’, or even the broad connection of “the presence of a contrasting middle, such as the ‘B’ in compound AABA or the development of a sonata” (Osborn 2023, 47-48). Tim Chenette (2017) addresses this idea most directly, where he identifies both the contrasting themes of the verse and chorus, and the “expositional” repeat of the structural A section in verse–chorus forms as mirroring the two-theme sonata exposition. Chenette highlights notable differences between these two forms as well, centered specifically around the incompatibility of tonal design.
[5.8] In the tonal design of sonata form, there are two major features which many readers will recognize from their undergraduate theory coursework: first, the specificity of key relationships between the two themes of the sonata—the tonic to dominant relationship in major or tonic to mediant relationship in minor—and second, the “Sonata Principle,” whereby the tonal friction between these contrasting key relationships are resolved at the recapitulation’s transition via arrest of the transition’s modulation. Modulating anime songs clearly reconcile this first component of the sonata tonal structure with its verse–prechorus–chorus–postchorus rotation that maps well to the P–TR–S–C rotation of the sonata. The difference is only where tonally anime songs tend to modulate, as the specific key relations of I to
Example 22. Hybrid sonata/verse-prechorus-chorus form graphs of the (22.1) “OP-format” and (22.2) full-length anime song (length and colors of bars represent normative sectional durations and thematic content, respectively; dashed borders represent sections frequently omitted)
(click to enlarge)
Harmonic Gestures of PR/RP Modulations in Broader Chromatic Contexts
[6.1] Although I have described the function of many chromatic sonorities as they relate to PR/RP modulations in the prior sections of this article, both the resolution patterns of these sonorities as well as the transformational relationship between PR/RP key centers mediate a far larger body of harmonic gestures found in anime music. Here, I will review two of these gestures: one used in modulation to distant keys, and the other used in enabling stable tonal ambiguity.
[6.2] Firstly, I’d like to summarize and present a more systematic grouping of harmonic resolution patterns from throughout the past three sections. The subtonic triad (
| Boundary dominant | Local resolution pattern | Global tonal transformation |
| Major mode authentic | PR (Examples 5,6) | |
| Minor mode authentic | PRP into | |
| Major mode deceptive | PR (i == vi/ | |
| Minor mode deceptive | PR sequence (Example 30.1) | |
| Backdoor/Picardy-aeolian | No tonal center change | |
| V | Major mode authentic | No tonal center change |
| V | Minor mode authentic | PR (i == vi/ |
| V | Major mode deceptive | No tonal center change |
| V | Minor mode deceptive | PR ( |
| V | Backdoor/Picardy-aeolian | RP (Example 17) |
| III | Major mode authentic | RP (Example 13) |
| III | Minor mode authentic | No tonal center change |
| III | Major mode deceptive | RP ( |
| III | Minor mode deceptive | No tonal center change |
| III | Backdoor/Picardy-aeolian | Pump-up (partial tonic |
[6.4] When considering the motion of the local resolution pattern, rather than the dominant sonority as it relates to a key center, a greater number of tonal areas become accessible for modulation by way of familiar chromatic gestures. In Example 23, an excerpt of an instrumental track titled “Swordland” from the popular anime Sword Art Online (2012), composer Yuki Kajiura leverages these patterns along with plagal progressions for modulation. Opening with an Axis progression in E, a brief plagal inflection in IV during measures 5 and 6 leads to the HC on III in measures 7 and 8. The second phrase (mm. 9–16) largely initiates in the same harmonic manner, now transformed by RP (key of
Example 23. Excerpt from “Swordland” from the Original Soundtrack of Sword Art Online (Yuki Kajiura, 2012)
(click to enlarge)
[6.5] I have up to this point used the terms transformation and modulation interchangeably because every example of a transformation occurring thus far was either preparing or subverting modulation. As is the case with modal mixture though, not every chromatic mediant triad necessarily destabilizes the present tonal center, and thus, not every transformation is necessarily indicative of a modulation. I present cases here of harmonic gestures associated with chromatic mediant modulations found in anime music used within a stable tonal space.
[6.6] These harmonic gestures in certain cases can produce a tonal system I call the chromatic double tonic complex. In the same way that double tonic complexes reconcile the relative major/minor relationship of two possible tonic triads within a tonal area, a chromatic double tonic complex broadly reconciles the relationship between two possible chromatically distinct tonic triads. These are frequently encountered in instances where the PR-RP relationship of tonal areas overlaps in an oscillating manner. Example 24, the verse section of “Tabi no Tochū” by Natsumi Kiyoura, contains a chromatic looping chord progression: I–
Example 24. Verse excerpt from “Tabi no Tochuu” (Natsumi Kiyoura, 2008)
(click to enlarge)
[6.7] Another example of the PR-RP chromatic double tonic complex can be seen in the verse section of Hiroshi Kitadani’s “We Are!,” the well-known first opening song of the anime One Piece (Example 25). The antecedent phrase of the verse first establishes the two tonics,
Example 25. Verse excerpt from “We Are!” (Hiroshi Kitadani, 1999)
(click to enlarge)
[6.8] The key feature of a chromatic double tonic complex is that both tonic sonorities must oscillate between one another and be equivalently supported harmonically. Otherwise, one tonic will be subordinate to the other, and thus more succinctly explained by its relationship to the primary tonic rather than as an equal independent tonic. Though, the specific manner by which this harmonic support is provided can vary. For instance, Example 24 showcases a set of repeated tonicizations mediated by the resolution of chromatic dominants (B and
[6.9] As seen from the case studies in Sections 3, 4, and 5, and the expanded modulatory utility and tonal settings of chromatic functional sonorities from this section, one may notice that many harmonic gestures here follow Nobile’s framework of syntactical function in pop/rock harmony (2020a; 2016), in which the harmonic function of sonorities are derived from their role within both sectional and formal harmonic circuits. In the examples from this article, the resolution patterns of these dominant sonorities arising from their frequent placement about modulating sectional boundaries provides a level of harmonic context. Specifically, for one chord class, each of the five cataloged resolution patterns has a tonal or modal space where that pattern is diatonic, and thus, those resolutions are associated with some diatonic dominant to tonic motion. Because each set of resolutions is diatonically anchored in this sense, a given pattern can be transposed around that anchor, preserving its functional circuit regardless of any change in tonality. In this way, the expectation of a complete functional circuit from a normative resolution in some tonal space is fulfilled regardless of which of the five resolution routes the now syntactical dominant to tonic motion actually follows. This principle allows sonoric tonal flexibility in both modulatory function and non-modulatory expressive chromaticism. I do not suggest that these resolution patterns must necessarily occur within a particular song under multiple harmonic contexts to invite a syntactical interpretation. Rather, I argue that the widespread, genre-spanning, collection of diverse resolution patterns inherently imply contextual flexibility in hearing function. These particular diatonic and modal dominants can independently produce a set of normative resolutions, to either lead toward some local tonic function, or confirm a new tonal area.
PR/RP Modulations and Transformations in Other Popular Media
[7.1] PR/RP type modulations and transformations are also found in other styles of popular and screen music. While these transformations may lose their role in mediating musical form outside of the verse–prechorus–chorus structure, they still serve as potent harmonic drivers in fueling audiovisual buildup and climax much like the prechorus to chorus transition in popular songs.
[7.2] Authors have recently commented on the aesthetic link between Western cinematic scoring and Eastern screen music in anime and video games. Both draw on stylistic blending, incorporating symphonic traditions alongside electronic instruments, jazz, and world music. Merlini (2023) particularly emphasizes the eclecticism of Japanese video game music, which integrates anime influences as well as Western classical and film scoring idioms. James Mc Glynn (2023) and Richard Anatone (2023) both observe the fusion of cinematic film music idioms with extant thematic motives found in various entries of the Final Fantasy (1987–2025) Japanese video game series. Japanese composers such as Joe Hisaishi, known for his music in the films of Hayao Miyazaki including the academy-award winning animated film Spirited Away (2001), likewise has scored video games such as the Ni no Kuni series (2013–2021) applying similar harmonic, instrumental, and motivic aesthetics from film scores.(40)
[7.3] In line with this, soundtracks in film and video games, in both the East and West unsurprisingly make use of these PR/RP transformations across similar audiovisual narrative tropes. Sean Atkinson’s work (2019) conceptualizes the soaring topic from film and video game scores. Atkinson associates certain harmonic features, namely the Lydian II triad and raised , with the transcendence of flight, following Tom Schneller’s earlier work (2013) which observes John Williams’ use of modal interchange between the Lydian and Ionian modes in filmic flight scenes. In Scheller’s transcriptions, Williams frequently uses a “soaring” leitharmonie containing what Ramage (2020) labels as a Lydian harmonic oscillation (i.e., I–II–I etc.)(41) until II is instead interrupted by its Ionian counterpart, ii or ii7 (Example 26.1–3).(42) The Main Theme of the anime-style role-playing video game Genshin Impact (2020) by composer Yu-Peng Chen has similar harmonic schema of a Lydian oscillation disrupted by an Ionian sonority. Here, instead of II progressing to ii or ii7, the II–IV progression notably outlines a familiar PR transformation (Example 26.4). This melody is similarly troped to “soaring” as it accompanies the player on the title screen while a passageway to the terrestrial in-game world of Teyvat extends across the clouds (Example 27). Following Atkinson and Schneller, I will refer to this motion as the soaring PR idiom.
Example 26. Leitharmonic idioms of “soaring” in screen music (partially adapted from Schneller 2013 with additional annotations) (click to enlarge) | Example 27. Title screen of Genshin Impact with the Main Theme, featuring the soaring PR idiom (click to enlarge) |
[7.4] The animated cutscenes of Genshin Impact demonstrate how the transcendental oscillating harmonic schema and the soaring PR idiom can be situated within narrative. Example 28 is an excerpt from a 2022 animated cutscene that closes out the Lantern Rite Festival, an in-game event culturally inspired by the Chinese New Year Spring Festival celebration. The away-and-back I–II–I Lydian oscillation, featuring the Main Theme melody, is markedly interrupted by IV via a soaring PR, initiating a cadential Royal Road Progression that decorates a pentatonic melody. The point of Lydian departure—the arrival of IV—is precisely timed to be visually accompanied by the release of fireworks illuminating the night sky, such that the harmonic and narrative “lift off” work in tandem.
Example 28. Excerpt from the animated event cutscene “Age of Flowing Hues” from Genshin Impact (transformation labels A and B, and the blue and green boxes follow the legend from Example 26)
(click to enlarge)
[7.5] The IV–V–
Example 29. Introduction excerpt from “Beyond” (Daft Punk, 2013) adapted from Atkinson 2019 with additional annotations
(click to enlarge)
[7.6] Another interpretation of the I–II–
Example 30. PR-chain and PR-like sequences (click to enlarge) | Example 31. Excerpt from “Magic of Love” (Two Steps from Hell, 2011) (click to enlarge) |
[7.7] In the same way that a single PR modulation can generate harmonic energy across transitions in both screen and popular music, the use of successive PR transformations via sequences can further intensify energetic buildup. During the finale of a major narrative arc in Genshin Impact, the God of Wisdom, Buer, implores her people to share their knowledge and aid the player character in overcoming a nearly invincible foe (Example 32). As the camera pans through the cast of supporting allies, each offering their own analyses of the battle to the protagonist, a soundtrack filled with triadic transformations drives the cutscene to its narrative climax. Over this brief excerpt, the harmonic rhythm accelerates not only through diminution, but also through increasingly rapid transformation-based tonal shifts. The opening four measures remain within a single tonal center, followed by a PL transformation which presents two measures in
Example 32. Excerpt from the animated story cutscene “The First Sage of Buer” from Genshin Impact
(click to enlarge)
Conclusion
[8.1] In this article, I have identified two common types of modulations found in anime songs and interrogated their tonal-sectional function. These modulations frequently rely on non-diatonic sonorities at sectional boundaries, drawing on their utility as dominants and predominants of distant keys to prepare functional modulations. However, tonally marked chromatically modulating cadential resolutions from dominant sonorities also occasionally occur. Intersectional modulations establish tonal boundary paradigms similar to those found in common-practice styles such as sonata form. The harmonic conventions brought about by this family of modulations may aid in novel readings of chord progressions containing extensive modal interchange and can be systematically organized and linked via analytical frameworks proposed in previous studies. While employing shared aesthetics from Western popular music as well as its parent J-pop genre, anime songs lie at the eclectic intersection of multiple musical styles. This eclecticism positions anime songs within a broader network of screen music practices, in dialogue with the harmonic palettes of film and video game music.
[8.2] Although I report their prevalence in anime songs, perhaps the more important takeaway is not so much the high frequency or even the functional analysis of the PR/RP modulations over other modulation types, but rather, that (1) intersectional chromatic modulations as a whole are a staple compositional element in this style and (2) these modulations engage reciprocally to ensure proper tonal closure and transition at boundaries within a verse–prechorus–chorus rotation cycle. Through these modulations, anime songs are ultimately able to establish harmonically rich and diverse sections but retain a globally reproducible tonal trajectory.
[8.3] I offer this study as an invitation for further exploration of J-pop within popular music theory. Recent examples from the public musicology sphere demonstrate not only the global popularity of J-pop, but also the burgeoning enthusiasm for understanding the sonic components—harmony, form, meter, rhythm, and texture—that make Japanese popular music so distinctive in its sound identity. It is important now for the academic popular music theory community to engage more deeply with these repertories, further situating J-pop and anime songs within broader, culturally inclusive theoretical and analytical conversations. I hope my contribution through this article may also support the growing dialogue between public and academic analyses of global popular musics.
Joy Li
Department of Biology
School of Arts and Sciences
University of Pennsylvania
433 S. University Avenue
Philadelphia, PA 19104
email
Works Cited
akabex. 2025. “EVERY Japanese Pop Music Cliches [sic] Explained.” YouTube video, 11:24. https://youtu.be/-IyBwwMkw90?si=QkCYO_mfe0Fc0rcf.
Anatone, Richard. 2023. “Leitmotivic Strategies in Nobuo Uematsu’s Final Fantasy Soundtracks.” Music Theory Spectrum 45 (2): 257–83. https://doi.org/10.1093/mts/mtad009.
Armstrong, Stephen. 2021. “Sounding the Grind: Musicospatial Stasis in JRPG Battle Themes.” Journal of Sound and Music in Games 2 (2): 1–21. https://doi.org/10.1525/jsmg.2021.2.2.1.
Atkinson, Sean. 2019. “Soaring through the Sky: Topics and Tropes in Video Game Music.” Music Theory Online 25 (2). https://doi.org/10.30535/mto.25.2.1.
Ayers, William R. 2024. “How Video Game Music Plays Us.” In The Oxford Handbook of Video Game Music and Sound, ed. William Gibbons and Mark Grimshaw-Aagaard, 308–25. https://doi.org/10.1093/oxfordhb/9780197556160.013.11.
Bass, Richard. 2007. “Enharmonic Position Finding and the Resolution of Seventh Chords in Chromatic Music.” Music Theory Spectrum 29 (1): 73–100. https://doi.org/10.1525/mts.2007.29.1.73.
Bennett, David. 2022. Japan's Favourite Chord Progression and Why it Works. YouTube video, 10:11. https://youtu.be/6aezSL_GvZA?si=NYfIvc5h9qUxKbDc.
Biamonte, Nicole. 2010. “Triadic Modal and Pentatonic Patterns in Rock Music.” Music Theory Spectrum 32 (2): 95–110. https://doi.org/10.1525/mts.2010.32.2.95.
Bribitzer-Stull, Matthew. 2012. “From Nibelheim to Hollywood: The Associativity of Harmonic Progression.” In The Legacy of Richard Wagner: Convergences and Dissonances in Aesthetics and Reception, ed. Luca Sala. 157–84. Brepols.
Callahan, Michael R. 2013. “Sentential Lyric-Types in the Great American Songbook.” Music Theory Online 19 (3). https://doi.org/10.30535/mto.19.3.2.
Capuzzo, Guy. 2004. “Neo-Riemannian Theory and the Analysis of Pop-Rock Music.” Music Theory Spectrum 26 (2): 177–99. https://doi.org/10.1525/mts.2004.26.2.177.
Chenette, Timothy. 2017. “Sonata Form and Pop Music.” Music Theory Bridges (blog). https://musictheorybridges.wordpress.com/2017/01/21/sonata-form-and-pop-music/.
Clement, Brett. 2013. “Modal Tonicization in Rock: The Special Case of the Lydian Scale.” Gamut: Online Journal of the Music Theory Society of the Mid-Atlantic 6 (1): 4. https://doi.org/10.7290/gamutm0rf.
Cobb, Nathan. 2025. “Switch Up the Groove: Idiosyncratic Approaches to Form and Texture in Recent Popular Music.” Music Theory Online 31, 2. https://doi.org/10.30535/mto.31.2.2.
Cohn, Richard. 2012. Audacious Euphony: Chromatic Harmony and the Triad's Second Nature. Oxford University Press. https://doi.org/10.1093/acprof:oso/9780199772698.001.0001.
Coker, Jerry. 1991. Elements of the Jazz Language for the Developing Improvisor. Alfred Music Publishing.
Covach, John. 2005. “Form in Rock Music.” In Engaging Music: Essays in Music Analysis, ed. Deborah Stein, 65–76. Oxford University Press.
de Clercq, Trevor. 2021. “The Logic of Six-Based Minor for Harmonic Analyses of Popular Music.” Music Theory Online 27 (4). https://doi.org/10.30535/mto.27.4.4.
de Ferranti, Hugh. 2002. “‘Japanese Music’ Can be Popular.” Popular Music 21 (2): 195–208. https://doi.org/10.1017/S026114300200212X.
Daliot-Bul, Michael, and Nissim Otmazgin. 2017. The anime boom in the United States: Lessons for global creative industries. Harvard University Asia Center: Harvard East Asian Monographs, vol 406. https://doi.org/10.2307/j.ctvrs9046.
Dickensheets, Janice. 2012. “The Topical Vocabulary of the Nineteenth Century.” Journal of Musicological Research 31 (2-3): 97–137. https://doi.org/10.1080/01411896.2012.682887.
Doll, Christopher. 2011. “Rockin’Out: Expressive Modulation in Verse–Chorus Form.” Music Theory Online 17 (3). https://doi.org/10.30535/mto.17.3.3.
—————. 2017. Hearing Harmony: Toward a Tonal Theory for the Rock Era. University of Michigan Press. https://doi.org/10.3998/mpub.3079295.
Everett, Walter. 1999. The Beatles as Musicians: Revolver through the Anthology. Oxford University Press.
—————. 2004. “Making Sense of Rock’s Tonal Systems.” Music Theory Online 10 (4). https://doi.org/10.30535/mto.10.4.2.
Forrest, David. 2017. “PL Voice Leading and the Uncanny in Pop Music.” Music Theory Online 23 (4). https://doi.org/10.30535/mto.23.4.6.
—————. 2022. “Kate Bush's Uncanny Harmonic Language.” In The Routledge Handbook of Women’s Work in Music, ed. Rhiannon Mathias, 228–37. Routledge. https://doi.org/10.4324/9780429201080-23.
Frymoyer, Johanna. 2017. “The Musical Topic in the Twentieth Century: A Case Study of Schönberg’s Ironic Waltzes.” Music Theory Spectrum 39 (1): 83–108. https://doi.org/10.1093/mts/mtx004.
Furmanovsky, Michael. 2013. “Crafting the Showa Dream in Popular Song: “Hachi-Roku” and the Invention of Modern Kayokyoku, 1959–65.” 比較文化研究 [Studies in Comparative Culture] 106: 377–91.
Harrison, Daniel. 1994. Harmonic Function in Chromatic Music: A Renewed Dualist Theory and an Account of its Precedents. The University of Chicago Press.
Heine, Erik. 2018. “Chromatic Mediants and Narrative Context in Film.” Music Analysis 37 (1): 103–32. https://doi.org/10.1111/musa.12106.
Hepokoski, James, and Warren Darcy. 1997. “The Medial Caesura and its Role in the Eighteenth-Century Sonata Exposition.” Music Theory Spectrum 19 (2): 115–54. https://doi.org/10.2307/745751.
—————. 2006. Elements of Sonata Theory: Norms, Types, and Deformations in the Late-Eighteenth-Century Sonata. Oxford University Press. https://doi.org/10.1093/acprof:oso/9780195146400.001.0001.
Hotes, Cathrine M. 2012. “Black Cat (1929).” Nishikata Film Review (blog), February 24. https://www.nishikata-eiga.com/2012/02/black-cat-1929.html.
Hunt, Graham G. 2007. “David Lewin and Valhalla Revisited: New Approaches to Motivic Corruption in Wagner's Ring Cycle.” Music Theory Spectrum 29 (2): 177–96. https://doi.org/10.1525/mts.2007.29.2.177.
Hunter, John D. 2007. “Matplotlib: A 2D Graphics Environment.” Computing in Science & Engineering 9 (3): 90–95. https://doi.org/10.1109/MCSE.2007.55.
Hutchinson, Kyle. 2022. “Chromatically Altered Diminished‐Seventh Chords: Reframing Function through Dissonance Resolution in Late Nineteenth‐Century Tonality.” Music Analysis 41 (1): 94–144. https://doi.org/10.1111/musa.12185.
Itō, Taisei. 2015. “時代を映す「アニメソング」 アニソンの戦後史 前編 [Reflecting the Era: The Postwar History of Anime Songs].” 70Seeds (column). https://www.70seeds.jp/anison-077/.
Jenkins, J. Daniel. 2025. “Hidden Public Music Theory.” Music Theory Spectrum 47 (1): 28–30. https://doi.org/10.1093/mts/mtae014.
Kawamoto, Akitsugu. 2019. “Popular Music Studies in Japan: Reviewing the Journal Popular Music Studies.” IASPM Journal 9 (2): 86–91. https://doi.org/10.5429/2079-3871(2019)v9i2.8en.
Kayano, Chino. 2020a. Japanese Music Harmony: The Fundamental Theory of Key Fluctuation. Kindle edition.
—————. 2020b. Japanese Music Harmony: Key Fluctuation Used in J-POP, Gaming, and Anime Music. Kindle edition.
Kopp, David. 2002. Chromatic Transformations in Nineteenth-Century Music. Cambridge University Press. https://doi.org/10.1017/CBO9780511481932.
Laitz, Steven Geoffrey. 2012. The Complete Musician: An Integrated Approach to Tonal Theory, Analysis, and Listening. Oxford University Press.
Lavengood, Megan. 2021. “'Oops!… I Did It Again': The Complement Chorus in Britney Spears, The Backstreet Boys, and NSYNC.” SMT-V 7 (6). https://doi.org/10.30535/smtv.7.6.
Leach, Ryan. 2022. Is This Book Your Key to Anime & J-POP Music? YouTube video, 10:49. https://youtu.be/cFFfQk9gM2o?si=oFtLkd90Hzx6bLj7.
Lee, Jason Yin Hei. 2025. “The Semantic Evolution of Chromatic Mediants: A Baroque Origin of M8M Progressions.” Music Theory Online 31 (2). https://doi.org/10.30535/mto.31.2.6.
Lehman, Frank. 2013a. “Hollywood Cadences: Music and the Structure of Cinematic Expectation.” Music Theory Online 19 (4). https://doi.org/10.30535/mto.19.4.2.
—————. 2013b. “Transformational Analysis and the Representation of Genius in Film Music.” Music Theory Spectrum 35 (1): 1–22. https://doi.org/10.1525/mts.2013.35.1.1.
—————. 2018. Hollywood Harmony: Musical Wonder and the Sound of Cinema. Oxford University Press. https://doi.org/10.1093/oso/9780190606398.001.0001.
Mc Glynn, James Denis. 2023. “The “Cinematic Promise” of Video Game Music: Stylistic Convergence, Current-Generation Remakes, and the Case of Final Fantasy VII.” Journal of Sound and Music in Games 4 (4): 108–38. https://doi.org/10.1525/jsmg.2023.4.4.108.
McKinney, Wes. 2011. “Pandas: a Foundational Python Library for Data Analysis and Statistics.” Python for High Performance and Scientific Computing 14 (9): 1–9.
Merlini, Mattia. 2023. “The Eclectic Case of Japanese Video Game Music.” Journal of Sound and Music in Games 4 (3): 30–52. https://doi.org/10.1525/jsmg.2023.4.3.30.
Moody, Andrew J. 2006. “English in Japanese Popular Culture and J‐Pop Music.” World Englishes 25 (2): 209–22. https://doi.org/10.1111/j.0083-2919.2006.00460.x.
Mōri, Yoshitaka. 2014. “J-Pop Goes the World: A New Global Fandom in the Age of Digital Media.” In Made in Japan, ed. Toru Mitsui, 211–23. Routledge.
Murphy, Scott. 2023. “An Eightfold Taxonomy of Harmonic Progressions, and Its Application to Triads Related by Major Third and Their Significance in Recent Screen Music.” Journal of Music Theory 67 (1): 141–69. https://doi.org/10.1215/00222909-10232093.
MyAnimeList. 2025. “Top Anime – Most Popular.” MyAnimeList. Accessed December 2023–July 2025. https://myanimelist.net/topanime.php?type=bypopularity.
Nazaré, Tân. 2023. “The Anime Sound: An Analytical and Semiotic Study of Contemporary Anime Music.” Master’s thesis, McGill University.
Nobile, Drew. 2016. “Harmonic Function in Rock Music: A Syntactical Approach.” Journal of Music Theory 60 (2): 149–80. https://doi.org/10.1215/00222909-3651838.
Nobile, Drew. 2020a. Form as Harmony in Rock Music. Oxford University Press. https://doi.org/10.1093/oso/9780190948351.001.0001.
—————. 2020b. “Double-Tonic Complexes in Rock Music.” Music Theory Spectrum 42 (2): 207–26. https://doi.org/10.1093/mts/mtaa003.
—————. 2022. “Teleology in Verse–Prechorus–Chorus Form, 1965–2020.” Music Theory Online 28 (3). https://doi.org/10.30535/mto.28.3.8.
Osborn, Brad. 2023. “Formal Functions and Rotations in Top-40 EDM.” Intégral 36: 35–54.
—————. 2024. “Dual Leading-Tone Loops in Recent Television Dramas.” SMT-V 10 (2). https://doi.org/10.30535/smtv.10.2.
Ramage, Maxwell. 2020. “Repetitive Variety and Other Balancing Acts: Debussy's Transcendental Oscillations.” Music Theory and Analysis (MTA) 7 (2): 287–320. https://doi.org/10.11116/MTA.7.2.1.
—————. 2023. “The Royal Road Progression in Japanese Popular Music.” Music Theory Spectrum 45 (2): 238–56. https://doi.org/10.1093/mts/mtad008.
Ratner, Leonard. 1980. Classic Music: Expression, Form, and Style. Schirmer Books.
Reed, Smith Alexander. 2022. “An Idiom of Melodic-Harmonic Divorce Sub-Circle Motion in Popular Music.” Music Theory Online 28 (2). https://doi.org/10.30535/mto.28.2.6.
Ricci, Adam. 2017. “The Pump‐Up in Pop Music of the 1970s and 1980s.” Music Analysis 36 (1): 94–115. https://doi.org/10.1111/musa.12086.
Richards, Mark. 2017. “Tonal Ambiguity in Popular Music’s Axis Progressions.” Music Theory Online 23 (3). https://doi.org/10.30535/mto.23.3.6.
Rodgers, Stephen. 2025. “Public Music Theory: An Introduction.” Music Theory Spectrum 47 (1): 3–7. https://doi.org/10.1093/mts/mtaf003.
Rothstein, William. 2008. “Common-Tone Tonality in Italian Romantic Opera: An Introduction.” Music Theory Online 14 (1). https://doi.org/10.30535/mto.14.1.3.
—————. 2023. The Musical Language of Italian Opera, 1813–1859. Oxford University Press. https://doi.org/10.1093/oso/9780197609682.001.0001.
Schneller, Tom. 2013. “Modal Interchange and Semantic Resonance in Themes by John Williams.” Journal of Film Music 6 (1): 49. https://doi.org/10.1558/jfm.v6i1.49.
Spicer, Mark. 2017. “Fragile, Emergent, and Absent Tonics in Pop and Rock Songs.” Music Theory Online 23 (2). https://doi.org/10.30535/mto.23.2.2.
Stevens, Carolyn. 2012. Japanese Popular Music: Culture, Authenticity and Power. Routledge. https://doi.org/10.4324/9780203945018.
Stroud, Cara. 2022. “Codetta and Anthem Postchorus Types in Top-40 Pop from 2010–2015.” Music Theory Online 28 (2). https://doi.org/10.30535/mto.28.2.9.
Summach, Jay. 2011. “The Structure, Function, and Genesis of the Prechorus.” Music Theory Online 17 (3). https://doi.org/10.30535/mto.17.3.2.
Telesco, Paula J. 1998. “Enharmonicism and the Omnibus Progression in Classical-Era Music.” Music Theory Spectrum 20 (2): 242–79. https://doi.org/10.2307/746049.
Temperley, David. 2011. “The Cadential IV in Rock.” Music Theory Online 17 (1). https://doi.org/10.30535/mto.17.1.8.
—————. 2018. The Musical Language of Rock. Oxford University Press. https://doi.org/10.1093/oso/9780190653774.001.0001.
Toth, Csaba. 2008. “J-Pop and Performances of Young Female Identity: Music, Gender and Urban Space in Tokyo.” Young 16 (2): 111–29. https://doi.org/10.1177/110330880801600201.
Wai-Ming, Ng. 2004. “The Rise of J-Pop in Asia and Its Impact.” Japan Spotlight: 24–27.
Waskom, Michael L. 2021. “Seaborn: Statistical Data Visualization.” Journal of Open Source Software 6 (60): 3021. https://doi.org/10.21105/joss.03021.
Yellin, Victor Fell. 1998. The Omnibus Idea. Harmonie Park Press.
Discography
Discography
“Idol” (2023), vocals: Ikura. Songwriter: Ayase. Sony Music Entertainment Japan.
“Stand Up!!!!” (2013), vocals: Asuka Nishi, Satomi Akesaka, Karin Ogino, and Ayaka Ohashi. Songwriter: Junichi Inoue. VAP inc.
“Terminal Terminal” (2017), vocals: Emiri Katō. Composer: mito and Satoru Kōsaki. Lyricist: meg rock. Aniplex.
“ODDS&ENDS” (2012), vocals: Hatsune Miku. Songwriter: ryo (supercell). Sony Music Entertainment Japan.
“Sincerely” (2018), vocals: TRUE. Composer: Shota Horie. Lantis.
“I Say Yes” (2007), vocals: ICHIKO. Composer: Go Sakabe and Riki Arai. Lyricist: Yuriko Mori and ICHIKO. Happinet Corporation.
“Believe” (2000), vocals: Folder5 (AKINA, HIKARI, MOE, ARISA, NATSU). Composer: GROOVE SURFERS. Lyricist: Chiroru Yaho, c.close. avec tune.
“This Game” (2014), vocals: Konomi Suzuki. Composer: Mitsuru Wakabayashi and EZFG. Lyricist: Yu-ki Misao, EZFG. KADOKAWA CORPORATION.
“Extra Magic Hour” (2014), vocals: AKINO and bless4. Composer: Nao Tokisawa and AKASHI. Lyricist: Shoko Fujibayashi and KANASA. flying DOG.
“Connect” (2011), vocals: Clara and Alice (ClariS). Songwriter: Sho Watanabe. Sony Music Entertainment Japan.
“Departure” (2011), vocals: Masatoshi Ono. Songwriter: Hitoshi Haba. VAP inc.
“to the beginning” (2012), vocals: Wakana, Keiko, Hikaru (Kalafina). Songwriter: Yuki Kajiura. Sony Music Entertainment Japan.
“Period” (2010), vocals: Kaname Kawabata and Yoshikuni Dōchin (PERIOD). Composer: Jonas Myrin, Peter Kvint, and Egami Kōtarō. Lyricist: Kaname Kawabata. Sony Music Entertainment Japan.
“No Limit” (2015), vocals: Nana Mizuki. Composer: Jun Suyama. Lyrics: Nana Mizuki. King Records.
“Fearless Hero” (2012), vocals: Nana Mizuki. Composer: Eriko Yoshiki, Yuki Nara, and Shihori. Lyricist: Nana Mizuki. King Records.
“Swordland” (2013, from Sword Art Online Original Soundtrack Vol. 1), composer: Yuki Kajiura. Aniplex.
“Tabi no Tochū” (2008), vocals: Natsumi Kiyoura. Composer: Tomohiko Kira. Lyricist: Koko Komine. flying DOG.
“We Are!” (1999), vocals: Hiroshi Kitadani. Composer: Kohei Tanaka. Lyricist: Shoko Fujibayashi. NIPPON COLUMBIA CO., LTD.
“Genshin Impact Main Theme” (2020, from Genshin Impact – The Wind and the Star Traveler), composer: Yu-Peng Chen. Performed by the London Philharmonic Orchestra. HOYO-MiX.
“Myriad of Lights” (2022, from Genshin Impact – Fleeting Colors in Flight), composer: Yu-Peng Chen. Performed by Art of Dragon Orchestra with guest artists. HOYO-MiX.
“Beyond” (2013), vocals: Thomas Bangalter and Guy‑Manuel de Homem-Christo (Daft Punk). Songwriter: Thomas Bangalter, Guy‑Manuel de Homem-Christo, Chris Caswell, and Paul Williams. Columbia Records.
“Magic of Love” (2011), composer: Thomas Bergersen (Two Steps from Hell). Two Steps from Hell.
“Trifaria Conscientia” (2023, from Genshin Impact - The Shimmering Voyage, Vol. 3), composer: Qian Ding and Yu-Peng Chen. Performed by the Budapest Scoring Orchestra with guest artists. HOYO-MiX.
Footnotes
* I would like to sincerely acknowledge, thank, and dedicate this article to two of my music theory professors, Nick Schumacher and James Sullivan who have supported my music theoretic research interests tremendously. I would also like to thank Matthew Oakes for feedback during the project’s initial stages, Megan Long and anonymous SMT-V reviewers for advising to take this project to Music Theory Online, and Maxwell Ramage for reviewing the manuscript. Lastly, I’d like to thank the Music Theory Online editorial team, as well as the Music Theory Online reviewers for their helpful suggestions and encouragement during the editing process.
Materials and Methods: Japanese artist names, songs, and terms follow Hepburn romanization (rōmaji), and names are in Western name order (given name first, followed by surname). Data modeling and analysis was performed with the matplotlib (Hunter 2007), pandas (McKinney 2011), and seaborn (Waskom 2021) libraries in Python. Examples were aurally transcribed and engraved by the author using Sibelius version 2019.5 build 1469. Video examples were edited and produced by the author using Camtasia version 2023.02. All relevant corpus data, including additional data not reported in Examples, are provided in Appendix 1.
Return to text
Materials and Methods: Japanese artist names, songs, and terms follow Hepburn romanization (rōmaji), and names are in Western name order (given name first, followed by surname). Data modeling and analysis was performed with the matplotlib (Hunter 2007), pandas (McKinney 2011), and seaborn (Waskom 2021) libraries in Python. Examples were aurally transcribed and engraved by the author using Sibelius version 2019.5 build 1469. Video examples were edited and produced by the author using Camtasia version 2023.02. All relevant corpus data, including additional data not reported in Examples, are provided in Appendix 1.
1. https://www.billboard.com/music/chart-beat/yoasobi-idol-tops-billboard-global-excl-us-chart-1235346245/.
Return to text
2. https://youtu.be/ZRtdQ81jPUQ?si=-6aXtSwPhxPZRp1I.
Return to text
3. J-pop is also discussed in the Japanese academic journal Popyurā ongaku kenkyū (“Popular Music Studies”) (Kawamoto 2019). Although other musicology-allied disciplines have also published English-language articles on J-pop, few have focused extensively on analysis.
Return to text
4. Ramage (2023, 2–3) provides an empirical description of sectional archetypes in the J-pop verse-prechorus-chorus rotation, stating that these rotations often “start with an instrumental introduction—a short phrase or tag. This is followed by a verse, usually sixteen measures in length, divided into two eight-measure phrases. The eight-measure phrases frequently exhibit an antecedent-consequent relationship, in which the first phrase ends on an open cadence while the second phrase ends on a closed cadence. Next, the song typically moves to a prechorus, an eight-measure transition that ratchets up the musical intensity through some combination of rhythmic, harmonic, and melodic means (faster drum hits and chord changes, dominant harmony, and ascending melody, for instance). The ensuing chorus is sixteen measures long and, like the verse, usually divides neatly into two eight-measure phrases that have identical beginnings.” While Ramage’s commentary provides a high-resolution breakdown of the most common harmonic and phraseological patterns within the verse-prechorus-chorus rotation, with many of these patterns reprised throughout the examples in this article, some patterns are more consistent than others across songs. See Section 2.
Return to text
5. In major mode Roman numerals: IV(7)–V(7)–iii(7)–vi (a.k.a. ōdō shinkō); see Ramage 2023 and Nazaré 2023 (29–35).
Return to text
6. A.k.a the Bunsū-aug (“Fractional-augmented”), Ikisugi (“Extravagant”), or Blackadder chord (Nazaré 2023, 36–44).
Return to text
7. One of the aims of this article is to introduce a Western readership to examples from modern Japanese popular music. In line with this aim, I focus my analysis and discussion more narrowly on the repertory of anime songs instead of J-pop generally due to the accessibility of anime songs. Using anime songs as a proxy for J-pop seems to be representative of its parent genre. Oricon, a Japanese record charts company (similar to Billboard) frequently feature anime songs in their ranking charts, and top J-pop artists and groups, such as YOASOBI, Aimer, and Official HIGE DANdism produce both anime and non-anime J-pop songs. Ramage consults anime songs as the largest J-pop corpus out of his four corpora in studying the Royal Road Progression, with anime songs representing 200 of his 309 songs analyzed (2023). Additionally, the anime song is both a type of popular song as well as a type of screen music. This invites insight into the audiovisual tropes established by similar harmonic conventions in other screen media such as film and video games (Merlini 2023), which are touched upon in a later section of this article.
Return to text
8. The lyrical, acoustic, sentimental, and jazz-infused style of kayōkyoku arose as a cultural product of Japanese post-war urbanization effort. These songs often reflected the optimism and hope of creating a new life in a changing world during periods of mass migration and the emergence of a growing urbanized middle class (Furmanovsky 2013). J-pop features even greater eclecticism. It adopts elements from kayōkyoku while incorporating faster tempos, English lyrics, and electronic instruments, and has been described by scholars as being stylistically reflective Japan’s new social, economic, and cultural positionality on the global stage (Stevens 2012, Toth 2018, Moody 2006).
Return to text
9. In addition to the relevant academic articles briefly reviewed here, several authors have commendably devoted monographs to these elements and more in rock music; see Nobile 2020a, Temperley 2018, Doll 2017.
Return to text
10. On the topic of sectional boundary modulations in this article and terminal choruses from Lavengood’s work, I will mention that full-length anime songs regularly use pump-up modulations boundary to the tonally contrasting final chorus. This is a technique that likely originates from 1970s and 1980s Anglophone pop (Ricci 2017).
Return to text
11. I would like to acknowledge the rapidly growing body of scholarship in popular music theory and analysis, notably from new issues of this journal. Due to constraints on space and the timing of revisions while preparing the manuscript, I regret that I am unable to engage with all of the valuable recent literature in the area. I extend my apologies to authors whose work is not cited here, and I encourage readers to further explore these texts.
Return to text
12. Lehman (2013a) does feature discussion on modulating chromatic mediant movements in sections [5.1–5.8]. Lee’s bifocal transitions (2025) are also a sort of “modulatory” chromatic mediant within the tonal practices of the Baroque and Classical eras as tonal transitions between major-minor relative keys should be considered conventional modulations. For more on this topic, see endnotes 19 and 20.
Return to text
13. For instance, action anime frequently feature fast-tempo openings with use of rock instruments in the instrumental track. Slice-of-life anime may have upbeat, mid-tempo opening songs in a major key with acoustic instrumentation. Medieval fantasy/adventure anime commonly use choirs, brass, harpsichords, church bells, and other orchestral instruments, borrowing harmonies from the Dorian and Lydian modes to create fantastical soundscapes. As with many tropes, anime opening tropes have also been used to subvert viewer expectations. A particularly common instance of this is when a lighthearted opening is juxtaposed with a dark narrative setting. Examples of this include “Connect” performed by ClariS in Puella Magi Madoka Magica and “Deep in Abyss” performed by Miyu Tomita and Mariya Ise in Made in Abyss. Both songs also incidentally feature the PR-type modulations discussed extensively in this article.
Return to text
14. YOASOBI’s “Idol” in Oshi no Ko is an example of a diegetic opening: the in-universe idol Ai Hoshino sings on-screen at the start of the chorus. Examples of semi-diegetic openings are more prevalent, such as the various opening songs by composer Satoru Kōsaki featured in the Monogatari series where the female lead of each story arc sings the opening. Other examples include “Deep in Abyss”, as Tomita and Ise voice the main character duo of Made in Abyss, Riku and Reg, respectively. The opening to Angel Beats features the character Kanade Tachibana playing the piano introduction of the opening song, “My Soul, Your Beats”, showing a slightly different (but common) setting of openings with semi-diegetic music.
Return to text
15. A list of openings containing this trope can be found on the TV Tropes wiki: https://tvtropes.org/pmwiki/pmwiki.php/SpoilerOpening/AnimeAndManga.
Return to text
16. This follows a similar methodology to Ramage (2023). The focus here though is not on the incident rate of the Royal Road Progression, but rather, on form and modulations.
Return to text
17. missing footnote
Return to text
18. Postchorus present, n = 40; postchorus absent, n = 60. Significance asterisks represent the p-value from a one-tailed t-test.
Return to text
19. It is often difficult to isolate a single tonal center/mode for many popular songs, and very few of the musical examples from this corpus contain a distinct major or minor tonal center as they would be defined in common-practice harmony. The presence of a relative “vi” alone functioning as “tonic” does not necessarily indicate a movement to the relative minor since the Aeolian and major modes tend to be frequently interchangeable and operate under similar rules of functional harmony (see Biamonte 2010). I have elected for this article to follow six-based minor proposed by Trevor de Clercq for popular music harmonic analysis (2021) as it both removes the need to analytically resolve any sort of double tonic complex (Nobile 2020b) and facilitates comparison between relative major/minor examples with otherwise similar harmonic idioms.
Return to text
20. Throughout this article, I use the term “modulation” generally to refer to any chromatic key change (i.e., not including relative major/minor key changes for reasons discussed in the previous note), whether prepared or unprepared by pivot chords.
Return to text
21. Pearson’s chi-square tests under the null models of the uniform distributions of modulation intervals and sectional areas yielded p values of 3.85 × 10-8 for modulation intervals (df = 10) and 1.41 × 10-11 for modulation sectional areas (df = 7). These results reject the null hypothesis and indicate specific modulation intervals and sectional areas occur at different frequencies, respectively. Standardized residuals were used to measure the effect size of specific intervals and sectional areas and are also reported in Example 4.1 and 4.2. Negative residuals measure underrepresented intervals/sectional areas, while positive residuals measure overrepresented intervals/sectional areas.
Return to text
22. The +m3/PR transformation itself is not novel to the popular music theory literature. S. Alexander Reed identifies triadic structural harmonic progressions which exhibit a PR relationship in Western popular music, in place of typical +P4 circle of fifths progressions (2022). The melodic examples from Reed often move by step into the root of the expected +P4 sonority, which is in subtonic relationship to the +m3/PR structural harmony. Reed uses the portmanteau sub-circle motion to describe this phenomenon. Like Reed’s examples, the sonorities found in facilitating PR/RP transformations in this corpus often carry dominant harmonic function which runs counter to Guy Capuzzo’s criteria of pop-rock progressions well-modeled by neo-Riemannian operations (2004, 181)—and is the reason Reed elects not to use neo-Riemannian operations in analysis. However, I argue the clear tonal-sectional separation in my examples warrants the use of neo-Riemannian labels alongside Roman numerals for analysis, as this combination offers the most parsimonious account of the relationship between PR/RP-related tonal areas.
Return to text
23. The predominant initiation, stepwise motion of the bass, and subsequent arrival on lowered though are still present as common structural features.
Return to text
24. “Believe” is originally a Japanese cover of a Eurobeat song, “DREAMIN’ OF YOU” by Lolita. This is the earliest example of the PR transformation of tonal centers I have identified, and Ramage also notes the history of Eurobeat’s influence on 1990s-era J-pop (2023). The local V–
Return to text
25. See examples such as “Shinzou wo Sasageyo!” by LINKED HORIZON or Yui Horie’s “chocolate insomnia” for intrasectional prechorus PR modulations. As seen from the data in Example 4, these cases are rare and not representative of the typical tonal-sectional structure. They will not be discussed further here.
Return to text
26. The “tonal distance” I refer to is in reference to the fact that I: V can double as
Return to text
27. i.e., vi: V–VI. See Ramage 2023, 10: “. . . IV expresses partial tonic function in the same way as a vi chord at a deceptive cadence”.
Return to text
28. Unless otherwise noted, I will be discussing the full-length verse–prechorus–chorus anime song rather than the OP format in this section.
Return to text
29. The verse of Example 19 (and the earlier Example 17) are cases where the double tonic complex is no longer applicable as the A minor tonal setting is unambiguously clear with a lament bass-like progression. However, I apply six-based minor in analysis here to push for a broader idiomatic inventory of modulation gestures. Notably, the postchorus harmonic progression in Example 19 is similar to the prechorus progression at the prechorus-chorus boundary presented in Examples 5, 6, and 7, despite these examples occurring in different tonal settings. I thank Cecilia Oinas for noting this analytical nuance of Examples 17 and 19.
Return to text
30. Note however that if III was used as a terminal dominant instead of iii, this would be akin to the relative minor-type RP modulations seen in Examples 14 and 15.
Return to text
31. In this case, it may be practical to subdivide the labels further as done by Nazaré: splitting up the intro into additional fragmented chorus and postchorus sections. This level of detail may come with the tradeoff of compromising the analytical integrity of the global compound AABA structure even though the macrostructure remains largely unchanged.
Return to text
32. Hepokoski and Darcy (1997, 122): “In general, a modulating [transition] in a major mode [sonata] exposition will drive toward a V: HC medial caesura.” In the same vein, modulating prechoruses in anime songs will often drive toward a
Return to text
33. Though some sonata features are more homologous than others to the anime song structure, other features are notably more distinct between the two styles. Notably the musical texture of chorus-centric popular music which builds across the verse-prechorus-chorus cycle (Nobile 2022) is in stark contrast to the subordinacy of themes in the sonata. I thank Cecilia Oinas for her helpful comments in this section.
Return to text
34. Note that
Return to text
35. Seen in PR-like sequences, see Example 31 (the second “modulation”).
Return to text
36. See the prechorus–chorus modulation in YOASOBI’s “Idol” (2023), 0:45–0:55.
Return to text
37. As this example traverses the boundary between sharp and flat keys in the circle of fifths, RP-modulating from
Return to text
38. This progression is also similar to the dual leading-tone loop concept proposed by Osborn (2024), though these are not dominants of R relationship, but rather, PR-relationship.
Return to text
39. De Clercq (2021) develops the idea of the triple tonic complex in popular music—the double tonic complex plus the sonorities from the parallel minor. This is an apt term harmonically when considering the identical tertian palette of the
Return to text
40. While game scores from film composers offer rich avenues for studying the pervasiveness of harmonic gestures in screen media, the ludomusicological dimensions these scores traverse should not be overlooked. For instance, Stephen Armstrong (2021) notes that many fans were disappointed by Hisaishi’s music in Ni no Kuni. Hisaishi’s battle themes lacked the normative audiovisual formal conventions of action role-playing games (an opening rupture during the instanced-battle transition, a fanfare-like cadence to signify victory, and extended repetitiveness to allow for layering and looping throughout a variable battle duration [Ayers 2024]). This absence reflects differences in scoring for interactive/dynamic gameplay as opposed to structured cinematic screenplay. Here, I draw attention to the non-interactive component of animated video game cutscenes for more appropriate comparisons to film scores.
Return to text
41. Example 26.2 (Yoda’s Theme from Star Wars: The Empire Strikes Back [1980]) is the best exemplar of this modal oscillation. Example 26.1 and 26.3 can be interpreted as partial or incomplete oscillations as they do not move back to tonic prior to modal departure. See Ramage 2020 for further discussion on modal oscillations.
Return to text
42. Transcriptions (26.1, 26.2, 26.3) are partially adapted from Schneller 2013 with additional annotations.
Return to text
43. All four of these PR transformations fall under the standard paradigms of Reed’s “Sub-Circle Motion” (2022, [2.1.1–3.1.8]). This Lydian versus Ionian reading debate raises the question of whether there are only two unique paradigms, each one simply shared between the Lydian and Ionian modes—perhaps a sort of syntactical “soaring” motion.
Return to text
44. Transcription adapted from Atkinson 2019 with additional annotations.
Return to text
45. This example can be analyzed as containing a PR–RP chromatic double tonic complex with Lydian tonal centers (B Lydian and D Lydian).
Return to text
46. A top comment on the “Beyond” official YouTube video notes “the beginning makes it sound like Daft Punk want to be Pokemon [sic] masters” (https://youtu.be/3T0NqvdUiWI?si=KcKySrtIhcSzUmrE), which may hint at a semiotic link between this harmonic progression with East Asian video game and anime media for modern listeners.
Return to text
47. The Lydian versus Ionian reading of these progressions that begin with two major triads whose roots are separated by a major second is addressed by Brett Clement (2013). Spicer (2017) argues that Clement’s examples of I–II Lydian progressions should be simply read as a IV–V progression which does not properly move to tonic (i.e., an absent tonic) in the Ionian mode. In the case of the IV–V–
Return to text
48. Using Steven Laitz’s (2012) chromatic sequence notation, the PR sequence can be written as Am3 (+M2/+m2).
Return to text
49. Because PR sequence roots outline the minor diminished 7th, after a model and three copies/transformations, the fourth copy/transformation of the sequence enharmonically returns to tonic (tonic, +m3, +dim5, +dim7, tonic). A progression that features this pattern avoids modulation globally despite sets of local modulations and is what I am referring to by a “full-cycle.”
Return to text
50. I use the label “+m3” instead of “PR” for the transformation in this example because neo-Riemannian labels are specific to chord quality. The harmonically ascending sequential motion is still broadly the same.
Return to text
51. Retrogressions of these sequences lead to -m3 or RP readings, highlighting once again the reciprocity of this family of transformations.
Return to text
52. I choose not to follow Atkinson’s Lydian analysis of these types of PR progressions in Example 32 (starting from m. 5) because of the large-scale harmonic motion to a HC in B major (rather than, for instance labeling ultimate chord as II of E Lydian). However, one may note that measures 5 and 6 present a I–II–I–II soaring transcendental oscillation if read in
Return to text
Copyright Statement
Copyright © 2026 by the Society for Music Theory. All rights reserved.
[1] Copyrights for individual items published in Music Theory Online (MTO) are held by their authors. Items appearing in MTO may be saved and stored in electronic or paper form, and may be shared among individuals for purposes of scholarly research or discussion, but may not be republished in any form, electronic or print, without prior, written permission from the author(s), and advance notification of the editors of MTO.
[2] Any redistributed form of items published in MTO must include the following information in a form appropriate to the medium in which the items are to appear:
This item appeared in Music Theory Online in [VOLUME #, ISSUE #] on [DAY/MONTH/YEAR]. It was authored by [FULL NAME, EMAIL ADDRESS], with whose written permission it is reprinted here.
[3] Libraries may archive issues of MTO in electronic or paper form for public access so long as each issue is stored in its entirety, and no access fee is charged. Exceptions to these requirements must be approved in writing by the editors of MTO, who will act in accordance with the decisions of the Society for Music Theory.
This document and all portions thereof are protected by U.S. and international copyright laws. Material contained herein may be copied and/or distributed for research purposes only.
Prepared by Lauren Irschick, Editorial Assistant
































